ГОСТ 31674-2012
ГОСТ 31674-2012 Корма, комбикорма, комбикормовое сырье. Методы определения общей токсичности
Категории ГОСТ 31674-2012 по ОКС:- Статус документа:
- действует, введён в действие 01.07.2013
- Название на английском языке:
- Feeds, compound feeds, material for compound feeds. Methods for the determination of common toxicity
- Дата актуализации информации по стандарту:
- 21.10.2025, в 15:44 (менее 3 месяцев назад)
- Вид стандарта:
- Стандарты на методы контроля
- Дата начала действия ГОСТа:
- 2013-07-01
- Дата последнего издания документа:
- 2014-11-05
Коды документа ГОСТ 31674-2012:
- Код КГС:
- С19
- Число страниц:
- 30
- Назначение ГОСТ 31674-2012:
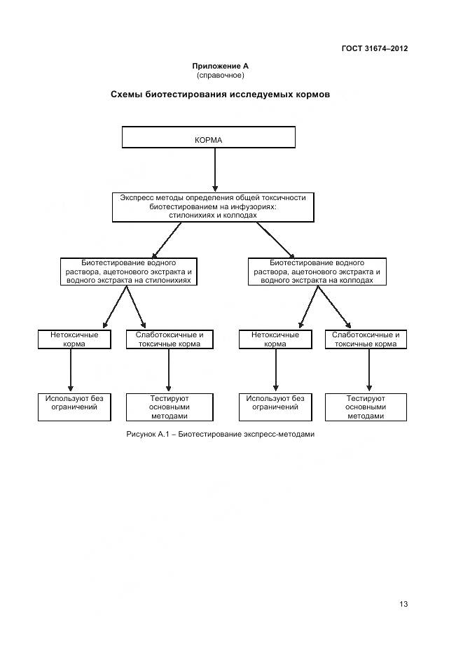
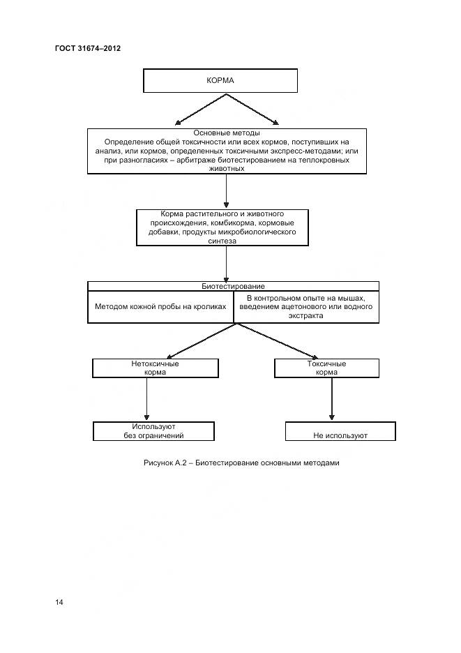
- Настоящий стандарт распространяется на фуражное зерно (пшеницу, кукурузу, овес, ячмень) и продукты его переработки (муку, крупу, отруби, лузгу, жмыхи, шроты); растительные корма (сено, солому, травяную муку); комбикорма для продуктивных и непродуктивных животных (в том числе консервы) и сырье для их производства (корма животного происхождения; продукты микробиологического синтеза; сухое молоко; концентрированные кормовые добавки). Стандарт устанавливает методы определения их общей токсичности: экспресс-методы и основные методы. Методы биотестирования являются качественными. Они дают возможность оценить общую токсичность корма
- Документ разработан орг-ей:
- Федеральное агентство по техническому регулированию и метрологии
- Документ принят орг-ей:
- Межгосударственный Совет по стандартизации метрологии и сертификации, протокол №51-2012
- Ключевые слова документа:
- , биотестирование, колподы, комбикорма, комбикормовое сырье, корма, кролики, мыши, основные методы, парамеции, стилонихии, токсичность, экспресс-методы
Нормативные ссылки, связанные с ГОСТ 31674-2012:
- Стандарт ссылается на ГОСТы:
- ГОСТ Р 55878-2013, ГОСТ Р 54731-2011, ГОСТ Р 12.1.019-2009, ГОСТ ISO 6497-2014, ГОСТ 12026-76, ГОСТ 9793-74, ГОСТ 13805-76, ГОСТ 13979.0-86, ГОСТ 18300-87, ГОСТ 22967-90, ГОСТ 23932-90, ГОСТ 24104-2001, ГОСТ 25336-82, ГОСТ 26312.1-84, ГОСТ 26809-86, ГОСТ 27262-87, ГОСТ 27668-88, ГОСТ 27842-88, ГОСТ 28311-89, ГОСТ 29169-91, ГОСТ 29227-91, ГОСТ 17299-78, ГОСТ 1129-2013, ГОСТ 26809.1-2014, ГОСТ 13586.3-2015, ГОСТ 13496.0-2016, ГОСТ 4201-79, ГОСТ 12.1.004-91, ГОСТ 12.1.005-88, ГОСТ 12.1.007-76, ГОСТ 12.1.030-81, ГОСТ 12.2.007.0-75, ГОСТ 12.4.009-83, ГОСТ 166-89, ГОСТ 171-81, ГОСТ 975-88, ГОСТ 1770-74, ГОСТ 2603-79, ГОСТ 4165-78, ГОСТ 12.4.021-75, ГОСТ 4209-77, ГОСТ 4233-77, ГОСТ 4234-77, ГОСТ 4328-77, ГОСТ 4461-77, ГОСТ 4523-77, ГОСТ 5556-81, ГОСТ 6038-79, ГОСТ 6292-93, ГОСТ 6709-72, ГОСТ 8756.0-70, ГОСТ 9147-80
- На стандарт ссылаются:
- ГОСТ Р 54079-2010, ГОСТ Р 54078-2010, ГОСТ Р 53903-2010, ГОСТ Р 53902-2010, ГОСТ Р 53901-2010, ГОСТ Р 53900-2010, ГОСТ Р 53899-2010, ГОСТ 10199-2017, ГОСТ 28460-2014, ГОСТ 32897-2014
Скачать ГОСТ 31674-2012 вы можете в следующих версиях:
Тип файла:
Дата добавления:
Загрузок:
Размер:
Ссылка на скачивание:
Добавлен:
20/11/2025 16:19
Скачиваний:
25
Размер файла:
2.87 Мб
Ссылка для скачивания:
-
страница 1
-
страница 2
-
страница 3
-
страница 4
-
страница 5
-
страница 6
-
страница 7
-
страница 8
-
страница 9
-
страница 10
-
страница 11
-
страница 12
-
страница 13
-
страница 14
-
страница 15
-
страница 16
-
страница 17
-
страница 18
-
страница 19
-
страница 20
-
страница 21
-
страница 22
-
страница 23
-
страница 24
-
страница 25
-
страница 26
-
страница 27
-
страница 28
-
страница 29
-
страница 30