ГОСТ 31792-2012 Рыба, морские беспозвоночные и продукты их переработки. Определение содержания диоксинов и диоксинподобных полихлорированных бифенилов хромато-масс-спектральным методом

Категории ГОСТ 31792-2012 по ОКС:
Статус документа:
действует, введён в действие 01.07.2013
Название на английском языке:
Fish, marine invertebrates and products of their processing. Determination of dioxins and dioxin-like biphenyls content by GC-MS method
Дата актуализации информации по стандарту:
21.10.2025, в 15:52 (менее 3 месяцев назад)
Вид стандарта:
Стандарты на методы контроля
Дата начала действия ГОСТа:
2013-07-01
Дата последнего издания документа:
2014-11-05
Коды документа ГОСТ 31792-2012:
Код КГС:
Н23
Число страниц:
40
Назначение ГОСТ 31792-2012:
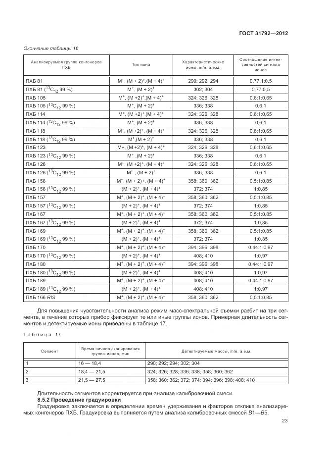
Настоящий стандарт предназначен для идентификации и выполнения измерений массовых концентраций 17 высокотоксичных полихлорированных дибензо-n-диоксинов и дибензофуранов: 2,3,7,8-тетрахлордибензо-n-диоксина, 2,3,7,8-пентахлордибензо-n-диоксина; 1,2,3,4,7,8-гексахлорди-бензо-n-диоксина; 1,2,3,6,7,8-гексахлордибензо-n-диоксина; 1,2,3,7,8,9-гексахлордибензо-n-диоксина; 1,2,3,4,6,7,8-гептахлордибензо-n-диоксина; октахлордибензо-n-диоксина; 2,3,7,8-тетрахлордибензофурана; 1,2,3,7,8-пентахлордибензофурана; 2,3,4,7,8-пента-хлордибензофурана; 1,2,3,4,7,8-гексахлордибензофурана; 1,2,3,6,7,8-гексахлор-дибензофурана; 2,3,4,6,7,8-гексахлордибензофурана; 1,2,3,7,8,9-гексахлор-дибензофурана; 1,2,3,4,6,7,8-гептахлордибензофурана; 1,2,3,4,7,8,9-гептахлорди-бензофурана; октахлордибензофурана, а также 14 диоксиноподобных планарных полихлорированных бифенилов (ПХБ): 3,3',4,4'-тетрахлорбифенила; 3,4,4',5-тетрахлорбифенила; 2,3,3',4,4'-пентахлорбифенила; 2,3,4,4',5-пентахлорбифенила; 2,3',4,4',5-пентахлорбифенила; 2',3,4,4',5-пентахлорбифенила; 3,3',4,4',5-пента-хлорбифенила; 2,3,3',4,4',5-гексахлорбифенила; 2,3,3',4,4',5'-гексахлорбифенила; 2,3',4,4',5,5'-гексахлорбифенила; 3,3',4,4',5,5'-гексахлорбифенила; 2,2',3,3',4,4',5-гептахлорбифенила; 2,2',3,4,4',5,5'-гептахлорбифенила; 2,3,3',4,4',5,5'-гептахлор-бифенила в рыбе, морских беспозвоночных и продуктах их переработки. Метод анализа основан на экстракции аналитов органическими растворителями, последовательной очистке экстракта с применением гель-фильтрации и колоночной хроматографии на различных сорбентах и количественном анализе методом хромато-масс-спектрометрии с использованием суррогатных изотопно-меченых стандартов - аналогов определяемых соединений, вводимых в пробу на стадии пробоподготовки. Предел обнаружения различных конгенеров составляет соответственно от 0,1 до 0,5 нг/кг. Определению не мешает присутствие в образцах пестицидов, полихлорированных бифенилов и прочих галогенированных соединений
Документ разработан орг-ей:
Федеральное агентство по техническому регулированию и метрологии
Документ принят орг-ей:
Межгосударственный Совет по стандартизации метрологии и сертификации, протокол №51
Ключевые слова документа:
диоксинподобные полихлорированные бифенилы, диоксины, хромато-масс-спектрометрия

Скачать ГОСТ 31792-2012 вы можете в следующих версиях:

Тип файла:
Дата добавления:
Загрузок:
Размер:
Тип файла:
PDF с изображениями
Добавлен:
20/11/2025 16:18
Скачиваний:
37
Размер файла:
3.37 Мб
  • ГОСТ 31792-2012, страница 1 страница 1
  • ГОСТ 31792-2012, страница 2 страница 2
  • ГОСТ 31792-2012, страница 3 страница 3
  • ГОСТ 31792-2012, страница 4 страница 4
  • ГОСТ 31792-2012, страница 5 страница 5
  • ГОСТ 31792-2012, страница 6 страница 6
  • ГОСТ 31792-2012, страница 7 страница 7
  • ГОСТ 31792-2012, страница 8 страница 8
  • ГОСТ 31792-2012, страница 9 страница 9
  • ГОСТ 31792-2012, страница 10 страница 10
  • ГОСТ 31792-2012, страница 11 страница 11
  • ГОСТ 31792-2012, страница 12 страница 12
  • ГОСТ 31792-2012, страница 13 страница 13
  • ГОСТ 31792-2012, страница 14 страница 14
  • ГОСТ 31792-2012, страница 15 страница 15
  • ГОСТ 31792-2012, страница 16 страница 16
  • ГОСТ 31792-2012, страница 17 страница 17
  • ГОСТ 31792-2012, страница 18 страница 18
  • ГОСТ 31792-2012, страница 19 страница 19
  • ГОСТ 31792-2012, страница 20 страница 20
  • ГОСТ 31792-2012, страница 21 страница 21
  • ГОСТ 31792-2012, страница 22 страница 22
  • ГОСТ 31792-2012, страница 23 страница 23
  • ГОСТ 31792-2012, страница 24 страница 24
  • ГОСТ 31792-2012, страница 25 страница 25
  • ГОСТ 31792-2012, страница 26 страница 26
  • ГОСТ 31792-2012, страница 27 страница 27
  • ГОСТ 31792-2012, страница 28 страница 28
  • ГОСТ 31792-2012, страница 29 страница 29
  • ГОСТ 31792-2012, страница 30 страница 30
  • ГОСТ 31792-2012, страница 31 страница 31
  • ГОСТ 31792-2012, страница 32 страница 32
  • ГОСТ 31792-2012, страница 33 страница 33
  • ГОСТ 31792-2012, страница 34 страница 34
  • ГОСТ 31792-2012, страница 35 страница 35
  • ГОСТ 31792-2012, страница 36 страница 36
  • ГОСТ 31792-2012, страница 37 страница 37
  • ГОСТ 31792-2012, страница 38 страница 38
  • ГОСТ 31792-2012, страница 39 страница 39
  • ГОСТ 31792-2012, страница 40 страница 40