ГОСТ 10531-89
ГОСТ 10531-89 Консервы рыбные. Рыба обжаренная в маринаде. Технические условия
Категории ГОСТ 10531-89 по ОКС:- 67. Пищевая промышленность
- 67.120. Мясо, мясные продукты
- 67.120.30 Рыба и рыбные продукты *включая водные моллюски и другие морские продукты
- Статус документа:
- заменен, введён в действие 01.01.1990
- Название на английском языке:
- Canned fish. Fried fish in marinade. Specifications
- Дата актуализации информации по стандарту:
- 05.08.2025, в 12:05 (менее полугода назад)
- Вид стандарта:
- Стандарты на продукцию (услуги)
- Дата начала действия ГОСТа:
- 1990-01-01
- Срок действия ограничен:
- 01.07.2014
- Дата последнего издания документа:
- 2009-01-01
Коды документа ГОСТ 10531-89:
- Код ОКП:
- 927161
- Код КГС:
- Н23
- Число страниц:
- 6
- Назначение ГОСТ 10531-89:
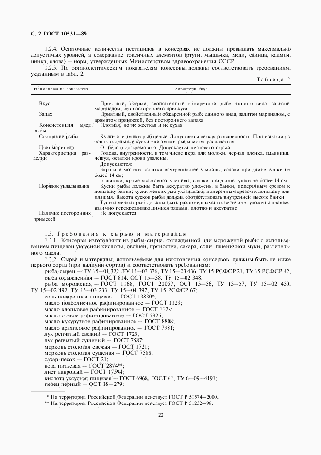
- Настоящий стандарт распространяется на консервы из обжаренной рыбы всех видов в маринаде
- ГРНТИ индекс(ы):
- 695135
- Документ разработан орг-ей:
- Минрыбхоз СССР
- Этот ГОСТ входит в сборник:
- Рыба и рыбные продукты. Консервы и пресервы рыбные, маринады и концентраты. Технические условия. Часть 2
- Ключевые слова документа:
- пищевая промышленность, установление технических условий
Нормативные ссылки, связанные с ГОСТ 10531-89:
- Стандарт ссылается на ГОСТы:
- ГОСТ 26934-86, ГОСТ 11771-93, ГОСТ 17594-81, ГОСТ 26664-85, ГОСТ 26668-85, ГОСТ 26669-85, ГОСТ 26670-91, ГОСТ 26927-86, ГОСТ 26929-94, ГОСТ 26930-86, ГОСТ 26931-86, ГОСТ 26933-86, ГОСТ 10444.15-94, ГОСТ 26935-86, ГОСТ 27082-89, ГОСТ 27207-87, ГОСТ 30425-97, ГОСТ 2874-82, ГОСТ 13830-97, ГОСТ 26932-86, ГОСТ 1129-93, ГОСТ 26574-85, ГОСТ 20057-96, ГОСТ 7588-71, ГОСТ 24597-81, ГОСТ 5981-88, ГОСТ 21-94, ГОСТ 61-75, ГОСТ 814-96, ГОСТ 1128-75, ГОСТ 1168-86, ГОСТ 1721-85, ГОСТ 1723-86, ГОСТ 6968-76, ГОСТ 7587-71, ГОСТ 23285-78, ГОСТ 7825-96, ГОСТ 7981-68, ГОСТ 8756.0-70, ГОСТ 8756.18-70, ГОСТ 8808-2000, ГОСТ 10444.1-84, ГОСТ 10444.2-94, ГОСТ 10444.7-86, ГОСТ 10444.8-88, ГОСТ 10444.9-88
- Ссылки на прочие:
- ОСТ 15-56-73;ОСТ 15-58-73;ОСТ 18-274-76;ОСТ 18-276-76;ОСТ 18-279-76;ТУ 6-09-4191-71;ТУ 15-57-84;ТУ 15 РСФСР 21-82;ТУ 15 РСФСР 42-77;ТУ 15 РСФСР 67-87;ТУ 15-01 322-81;ТУ 15-02 348-80;ТУ 15-02 450-84;ТУ 15-02 492-87;ТУ 15-03 233-84;ТУ 15-03 376-78;ТУ 15-03 407-80;ТУ 15-03 436-77;ТУ 15-04 397-81
Скачать ГОСТ 10531-89 вы можете в следующих версиях:
Тип файла:
Дата добавления:
Загрузок:
Размер:
Ссылка на скачивание:
Добавлен:
12/12/2011 01:59
Скачиваний:
299
Размер файла:
0.34 Мб
Ссылка для скачивания:
-
страница 1
-
страница 2
-
страница 3
-
страница 4