ГОСТ 9544-2005 Арматура трубопроводная запорная. Классы и нормы герметичности затворов

Категории ГОСТ 9544-2005 по ОКС:
Статус документа:
утратил силу в рф, введён в действие 01.04.2008
Название на английском языке:
Pipeline gate valves. Classes and rates of gates sealibility
Дата актуализации информации по стандарту:
30.07.2025, в 17:49 (менее 3 месяцев назад)
Вид стандарта:
Стандарты на продукцию (услуги)
Дата начала действия ГОСТа:
2008-04-01
Срок действия ограничен:
01.07.2012
Дата последнего издания документа:
2008-04-04
Коды документа ГОСТ 9544-2005:
Код ОКП:
370000
Код КГС:
Г18
Число страниц:
17
Назначение ГОСТ 9544-2005:
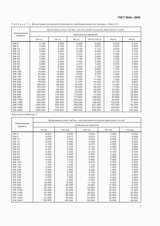
Настоящий стандарт распространяется на все типы запорной трубопроводной арматуры на номинальное давление PN от 0,1 МПа и устанавливает нормы герметичности затворов и классы герметичности, а также соответствующие им допустимые утечки пробного вещества и требования к проведению испытаний на герметичность при приемо-сдаточных и других видах испытаний трубопроводной арматуры. Настоящий стандарт не распространяется на арматуру, которая разрабатывается и изготавливается с учетом специальных требований заказчика применительно к конкретным условиям эксплуатации. Допускается применение настоящего стандарта для других видов трубопроводной арматуры
Документ разработан орг-ей:
Федеральное агентство по техническому регулированию и метрологии (Росстандарт)
Документ принят орг-ей:
Межгосударственный Совет по стандартизации метрологии и сертификации, протокол №22
Ключевые слова документа:
арматура, затвор, класс герметичности, пробное вещество, утечка
Нормативные ссылки, связанные с ГОСТ 9544-2005:

Скачать ГОСТ 9544-2005 вы можете в следующих версиях:

Дата добавления:
Тип файла:
Загрузок:
Размер:
12/12/2011 01:59
PDF с изображениями
4622
0.61 Мб

Поправки и изменения к ГОСТ 9544-2005:

  • Наименование, вид:
    Дата
    регистрации:
    начала действия:
  • Изменение к ГОСТ 9544-2005. Утратил силу в РФ

    Тип изменения: Утратил силу в РФ
    Номер изменения:
    Регистрационный номер: 111-ст
    Новое значение: Утратил силу на территории РФ, с 01.07.2012 пользоваться ГОСТ Р 54808-2011

    2012-06-19
    2012-07-01
  • Изменение №1 к ГОСТ 9544-2005

    Тип изменения: Текстовое изменение
    Номер изменения: 1
    Регистрационный номер: 775-ст

    2010-11-30
    2011-01-01
  • Поправка к ГОСТ 9544-2005

    Тип изменения: Поправка
    Номер изменения:
    Регистрационный номер: ИУС № 9-2009

    2009-07-06
    2009-07-06

Текст стандарта

  • ГОСТ 9544-2005, страница 1 страница 1
  • ГОСТ 9544-2005, страница 2 страница 2
  • ГОСТ 9544-2005, страница 3 страница 3
  • ГОСТ 9544-2005, страница 4 страница 4
  • ГОСТ 9544-2005, страница 5 страница 5
  • ГОСТ 9544-2005, страница 6 страница 6
  • ГОСТ 9544-2005, страница 7 страница 7
  • ГОСТ 9544-2005, страница 8 страница 8
  • ГОСТ 9544-2005, страница 9 страница 9
  • ГОСТ 9544-2005, страница 10 страница 10
  • ГОСТ 9544-2005, страница 11 страница 11
  • ГОСТ 9544-2005, страница 12 страница 12
  • ГОСТ 9544-2005, страница 13 страница 13
  • ГОСТ 9544-2005, страница 14 страница 14
  • ГОСТ 9544-2005, страница 15 страница 15