ПНСТ 915-2024 Пожарная опасность веществ и материалов. Средства огнезащиты. Идентификация методом термического анализа (термогравиметрии) с использованием методов математической статистики

Категории ПНСТ 915-2024 по ОКС:
Статус документа:
действует, введён в действие 01.05.2024
Название на английском языке:
Fire hazard of substances and materials. Fire protection equipment. Identification by the method of thermal analysis (thermogravimetry) using methods of mathematical statistics
Дата актуализации информации по стандарту:
25.08.2025, в 09:48 (менее 3 месяцев назад)
Вид стандарта:
временно не известен
Дата начала действия ГОСТа:
2024-05-01
Число страниц:
28
Назначение ПНСТ 915-2024:
не указано
Нормативные ссылки, связанные с ПНСТ 915-2024:

Скачать ПНСТ 915-2024 вы можете в следующих версиях:

В данный момент версий документа для скачивания не добавлено.

Мы стараемся пополнять базу документов еженедельно и из разных источников, в обозримом будущем версии для этого ГОСТа появятся.

Вы можете просмотреть online текст стандарта ПНСТ 915-2024

Просмотреть текст ПНСТ 915-2024

Текст стандарта

  • ПНСТ 915-2024, страница 1 страница 1
  • ПНСТ 915-2024, страница 2 страница 2
  • ПНСТ 915-2024, страница 3 страница 3
  • ПНСТ 915-2024, страница 4 страница 4
  • ПНСТ 915-2024, страница 5 страница 5
  • ПНСТ 915-2024, страница 6 страница 6
  • ПНСТ 915-2024, страница 7 страница 7
  • ПНСТ 915-2024, страница 8 страница 8
  • ПНСТ 915-2024, страница 9 страница 9
  • ПНСТ 915-2024, страница 10 страница 10
  • ПНСТ 915-2024, страница 11 страница 11
  • ПНСТ 915-2024, страница 12 страница 12
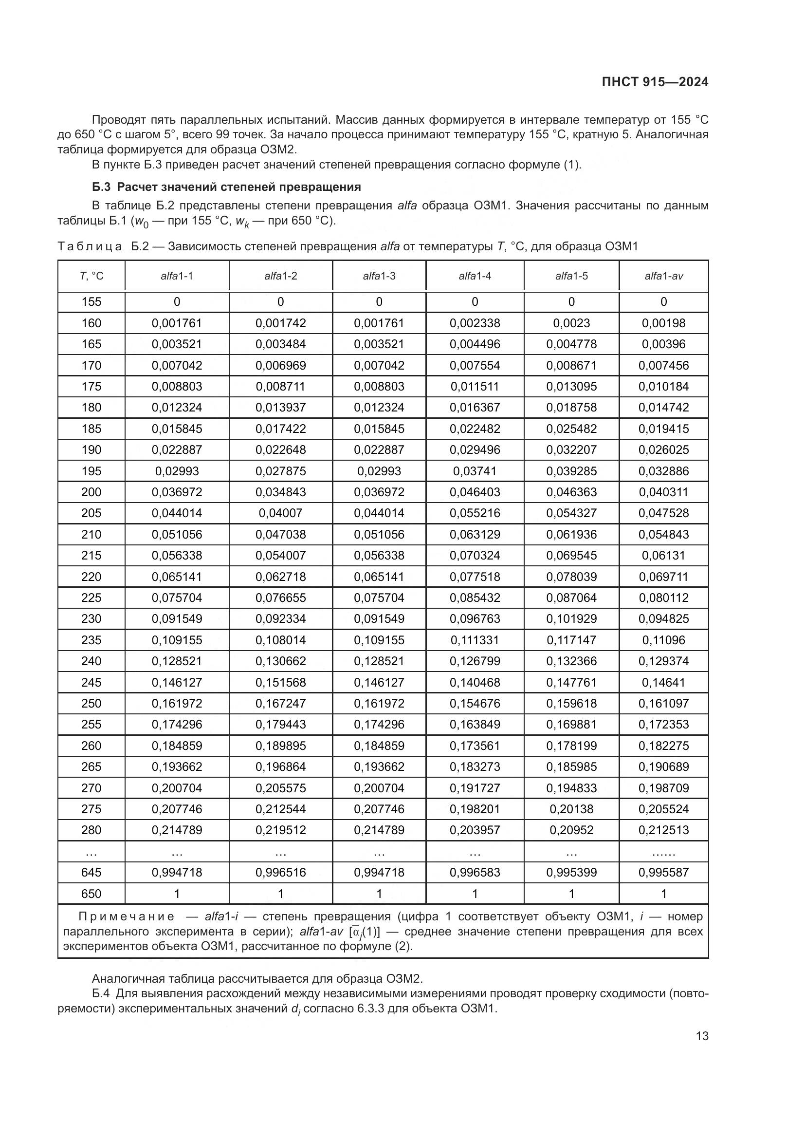
  • ПНСТ 915-2024, страница 13 страница 13
  • ПНСТ 915-2024, страница 14 страница 14
  • ПНСТ 915-2024, страница 15 страница 15
  • ПНСТ 915-2024, страница 16 страница 16
  • ПНСТ 915-2024, страница 17 страница 17
  • ПНСТ 915-2024, страница 18 страница 18
  • ПНСТ 915-2024, страница 19 страница 19
  • ПНСТ 915-2024, страница 20 страница 20
  • ПНСТ 915-2024, страница 21 страница 21
  • ПНСТ 915-2024, страница 22 страница 22
  • ПНСТ 915-2024, страница 23 страница 23
  • ПНСТ 915-2024, страница 24 страница 24
  • ПНСТ 915-2024, страница 25 страница 25
  • ПНСТ 915-2024, страница 26 страница 26
  • ПНСТ 915-2024, страница 27 страница 27
  • ПНСТ 915-2024, страница 28 страница 28