ГОСТ Р ИСО/МЭК 8825-6-2013 Информационная технология. Правила кодирования АСН.1. Часть 6. Регистрация и применение команд кодирования PER

Категории ГОСТ Р ИСО/МЭК 8825-6-2013 по ОКС:
Статус документа:
действует, введён в действие 01.07.2014
Название на английском языке:
Information technology. ASN.1 encoding rules. Part 6. Registration and application of PER encoding instructions
Дата актуализации информации по стандарту:
11.08.2025, в 13:28 (менее 3 месяцев назад)
Вид стандарта:
временно не известен
Дата начала действия ГОСТа:
2014-07-01
Число страниц:
24
Назначение ГОСТ Р ИСО/МЭК 8825-6-2013:
не указано
Нормативные ссылки, связанные с ГОСТ Р ИСО/МЭК 8825-6-2013:

Скачать ГОСТ Р ИСО/МЭК 8825-6-2013 вы можете в следующих версиях:

Дата добавления:
Тип файла:
Загрузок:
Размер:
23/01/2016 17:52
PDF с изображениями
0
1.03 Мб

Текст стандарта

  • ГОСТ Р ИСО/МЭК 8825-6-2013, страница 1 страница 1
  • ГОСТ Р ИСО/МЭК 8825-6-2013, страница 2 страница 2
  • ГОСТ Р ИСО/МЭК 8825-6-2013, страница 3 страница 3
  • ГОСТ Р ИСО/МЭК 8825-6-2013, страница 4 страница 4
  • ГОСТ Р ИСО/МЭК 8825-6-2013, страница 5 страница 5
  • ГОСТ Р ИСО/МЭК 8825-6-2013, страница 6 страница 6
  • ГОСТ Р ИСО/МЭК 8825-6-2013, страница 7 страница 7
  • ГОСТ Р ИСО/МЭК 8825-6-2013, страница 8 страница 8
  • ГОСТ Р ИСО/МЭК 8825-6-2013, страница 9 страница 9
  • ГОСТ Р ИСО/МЭК 8825-6-2013, страница 10 страница 10
  • ГОСТ Р ИСО/МЭК 8825-6-2013, страница 11 страница 11
  • ГОСТ Р ИСО/МЭК 8825-6-2013, страница 12 страница 12
  • ГОСТ Р ИСО/МЭК 8825-6-2013, страница 13 страница 13
  • ГОСТ Р ИСО/МЭК 8825-6-2013, страница 14 страница 14
  • ГОСТ Р ИСО/МЭК 8825-6-2013, страница 15 страница 15
  • ГОСТ Р ИСО/МЭК 8825-6-2013, страница 16 страница 16
  • ГОСТ Р ИСО/МЭК 8825-6-2013, страница 17 страница 17
  • ГОСТ Р ИСО/МЭК 8825-6-2013, страница 18 страница 18
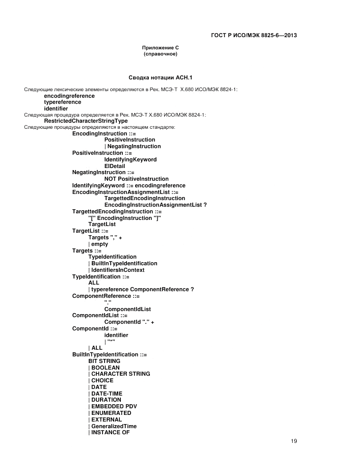
  • ГОСТ Р ИСО/МЭК 8825-6-2013, страница 19 страница 19
  • ГОСТ Р ИСО/МЭК 8825-6-2013, страница 20 страница 20
  • ГОСТ Р ИСО/МЭК 8825-6-2013, страница 21 страница 21
  • ГОСТ Р ИСО/МЭК 8825-6-2013, страница 22 страница 22
  • ГОСТ Р ИСО/МЭК 8825-6-2013, страница 23 страница 23
  • ГОСТ Р ИСО/МЭК 8825-6-2013, страница 24 страница 24