ГОСТ 8645-68 Трубы стальные прямоугольные. Сортамент

Категории ГОСТ 8645-68 по ОКС:
Статус документа:
действует, введён в действие 01.01.1969
Название на английском языке:
Rectangular steel tubes. Range
Дата актуализации информации по стандарту:
30.07.2025, в 12:39 (менее 3 месяцев назад)
Вид стандарта:
Стандарты на продукцию (услуги)
Дата начала действия ГОСТа:
1969-01-01
Дата последнего издания документа:
2004-08-01
Коды документа ГОСТ 8645-68:
Код ОКП:
131900;134400;135100;137300
Код КГС:
В62
Число страниц:
15
Назначение ГОСТ 8645-68:
Настоящий стандарт распространяется на стальные бесшовные горячекатаные, холоднотянутые и электросварные прямоугольные трубы
ГРНТИ индекс(ы):
5347
Документ разработан орг-ей:
Министерство металлургии СССР
Нормативные ссылки, связанные с ГОСТ 8645-68:

Скачать ГОСТ 8645-68 вы можете в следующих версиях:

Дата добавления:
Тип файла:
Загрузок:
Размер:
12/12/2011 01:57
PDF с изображениями
8708
0.41 Мб

Поправки и изменения к ГОСТ 8645-68:

  • Наименование, вид:
    Дата
    регистрации:
    начала действия:
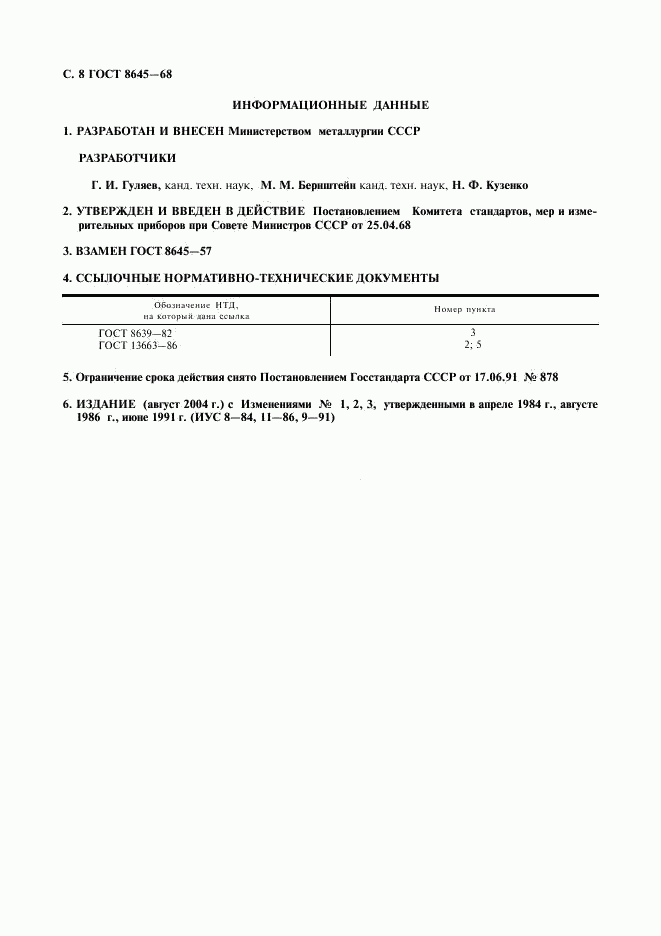
  • Изменение №1 к ГОСТ 8645-68

    Тип изменения: Текстовое изменение
    Номер изменения: 1
    Регистрационный номер: 1565
    Новое значение: -

    1984-04-29
    1984-10-01
  • Изменение №2 к ГОСТ 8645-68

    Тип изменения: Текстовое изменение
    Номер изменения: 2
    Регистрационный номер: 2376
    Новое значение: -

    1986-08-12
    1987-02-01
  • Изменение №3 к ГОСТ 8645-68

    Тип изменения: Текстовое изменение
    Номер изменения: 3
    Регистрационный номер: 878
    Новое значение: -

    1991-06-17
    1992-01-01
  • Изменение №4 к ГОСТ 8645-68

    Тип изменения: Текстовое изменение
    Номер изменения: 4
    Регистрационный номер: 29-ст

    2010-03-04
    2010-07-01
  • Поправка к ГОСТ 8645-68

    Тип изменения: Поправка
    Номер изменения:
    Регистрационный номер: -

    2023-06-06
    2023-06-21

Текст стандарта

  • ГОСТ 8645-68, страница 1 страница 1
  • ГОСТ 8645-68, страница 2 страница 2
  • ГОСТ 8645-68, страница 3 страница 3
  • ГОСТ 8645-68, страница 4 страница 4
  • ГОСТ 8645-68, страница 5 страница 5
  • ГОСТ 8645-68, страница 6 страница 6
  • ГОСТ 8645-68, страница 7 страница 7
  • ГОСТ 8645-68, страница 8 страница 8
  • ГОСТ 8645-68, страница 9 страница 9
  • ГОСТ 8645-68, страница 10 страница 10