ГОСТ Р 8.945-2018 Государственная система обеспечения единства измерений. Стандартные справочные данные. Теплофизические характеристики пьезокерамик на основе ниобата лития в диапазоне температур от 300 К до 900 К

Категории ГОСТ Р 8.945-2018 по ОКС:
Статус документа:
действует, введён в действие 01.02.2019
Название на английском языке:
State system for ensuring the uniformity of measurements. Standard reference data. Thermophysical characteristics of piezoceramics based on lithium niobate in the temperature range from 300 K to 900 K
Дата актуализации информации по стандарту:
30.10.2025, в 21:51 (менее 3 месяцев назад)
Вид стандарта:
Стандарты на процессы
Дата начала действия ГОСТа:
2019-02-01
Дата последнего издания документа:
2018-09-03
Число страниц:
16
Назначение ГОСТ Р 8.945-2018:
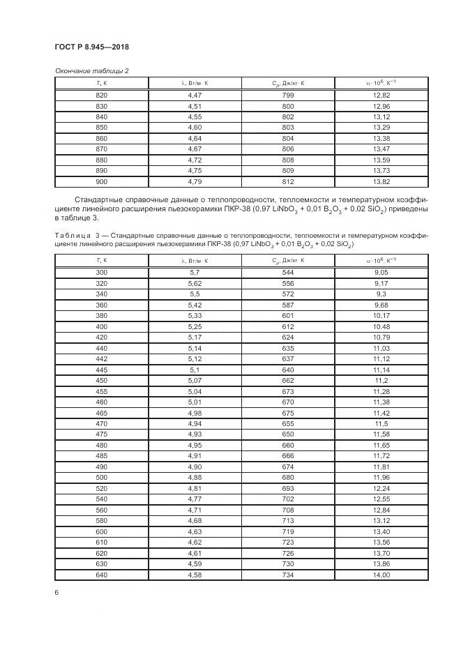
Настоящий стандарт распространяется на стандартные справочные данные о теплопроводности, теплоемкости и температурном коэффициенте линейного расширения пьезокерамик на основе твердых растворов ниобата лития в диапазоне температур от 300 К до 900 К. Настоящий стандарт предназначен для использования ССД о теплопроводности, теплоемкости и температурном коэффициенте линейного расширения пьезокерамик на основе твердых растворов ниобата лития в диапазоне температур от 300 К до 900 К при разработке новых пьезокерамик с заданными свойствами, а также при создании различных приборов и устройств для ультразвуковых преобразователей
Документ разработан орг-ей:
Федеральное агентство по техническому регулированию и метрологии (Росстандарт)
Ключевые слова документа:
вещества, материалы, неопределенность, свойства, стандартные справочные данные

Скачать ГОСТ Р 8.945-2018 вы можете в следующих версиях:

Тип файла:
Дата добавления:
Загрузок:
Размер:
Тип файла:
PDF с изображениями
Добавлен:
20/11/2025 14:17
Скачиваний:
8
Размер файла:
1.1 Мб
  • ГОСТ Р 8.945-2018, страница 1 страница 1
  • ГОСТ Р 8.945-2018, страница 2 страница 2
  • ГОСТ Р 8.945-2018, страница 3 страница 3
  • ГОСТ Р 8.945-2018, страница 4 страница 4
  • ГОСТ Р 8.945-2018, страница 5 страница 5
  • ГОСТ Р 8.945-2018, страница 6 страница 6
  • ГОСТ Р 8.945-2018, страница 7 страница 7
  • ГОСТ Р 8.945-2018, страница 8 страница 8
  • ГОСТ Р 8.945-2018, страница 9 страница 9
  • ГОСТ Р 8.945-2018, страница 10 страница 10
  • ГОСТ Р 8.945-2018, страница 11 страница 11
  • ГОСТ Р 8.945-2018, страница 12 страница 12
  • ГОСТ Р 8.945-2018, страница 13 страница 13
  • ГОСТ Р 8.945-2018, страница 14 страница 14
  • ГОСТ Р 8.945-2018, страница 15 страница 15
  • ГОСТ Р 8.945-2018, страница 16 страница 16