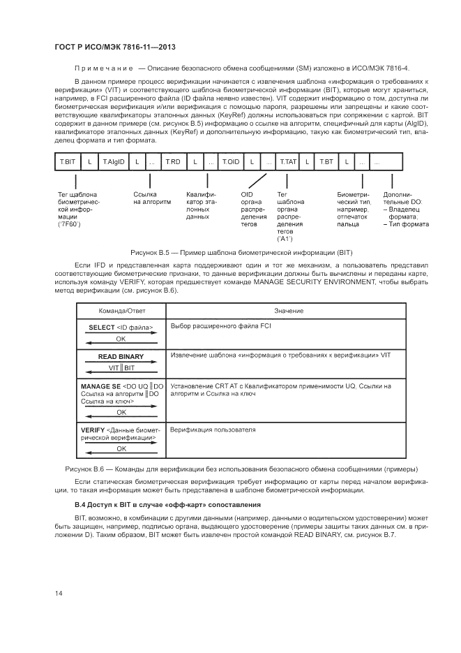
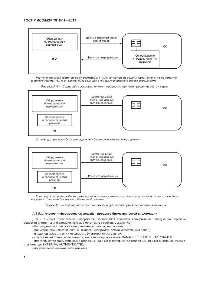
ГОСТ Р ИСО/МЭК 7816-11-2013

ГОСТ Р ИСО/МЭК 7816-11-2013 Карты идентификационные. Карты на интегральных схемах. Часть 11. Верификация личности биометрическими методами

Категории ГОСТ Р ИСО/МЭК 7816-11-2013 по ОКС:
Статус документа:
действует, введён в действие 01.01.2015
Название на английском языке:
Identification cards. Integrated circuit cards. Part 11. Personal verification through biometric methods
Дата актуализации информации по стандарту:
11.08.2025, в 13:28 (менее 3 месяцев назад)
Вид стандарта:
временно не известен
Дата начала действия ГОСТа:
2015-01-01
Число страниц:
36
Назначение ГОСТ Р ИСО/МЭК 7816-11-2013:
не указано
Нормативные ссылки, связанные с ГОСТ Р ИСО/МЭК 7816-11-2013:

Скачать ГОСТ Р ИСО/МЭК 7816-11-2013 вы можете в следующих версиях:

Дата добавления:
Тип файла:
Загрузок:
Размер:
23/01/2016 17:52
PDF с изображениями
0
1.35 Мб

Текст стандарта

  • ГОСТ Р ИСО/МЭК 7816-11-2013, страница 1 страница 1
  • ГОСТ Р ИСО/МЭК 7816-11-2013, страница 2 страница 2
  • ГОСТ Р ИСО/МЭК 7816-11-2013, страница 3 страница 3
  • ГОСТ Р ИСО/МЭК 7816-11-2013, страница 4 страница 4
  • ГОСТ Р ИСО/МЭК 7816-11-2013, страница 5 страница 5
  • ГОСТ Р ИСО/МЭК 7816-11-2013, страница 6 страница 6
  • ГОСТ Р ИСО/МЭК 7816-11-2013, страница 7 страница 7
  • ГОСТ Р ИСО/МЭК 7816-11-2013, страница 8 страница 8
  • ГОСТ Р ИСО/МЭК 7816-11-2013, страница 9 страница 9
  • ГОСТ Р ИСО/МЭК 7816-11-2013, страница 10 страница 10
  • ГОСТ Р ИСО/МЭК 7816-11-2013, страница 11 страница 11
  • ГОСТ Р ИСО/МЭК 7816-11-2013, страница 12 страница 12
  • ГОСТ Р ИСО/МЭК 7816-11-2013, страница 13 страница 13
  • ГОСТ Р ИСО/МЭК 7816-11-2013, страница 14 страница 14
  • ГОСТ Р ИСО/МЭК 7816-11-2013, страница 15 страница 15
  • ГОСТ Р ИСО/МЭК 7816-11-2013, страница 16 страница 16
  • ГОСТ Р ИСО/МЭК 7816-11-2013, страница 17 страница 17
  • ГОСТ Р ИСО/МЭК 7816-11-2013, страница 18 страница 18
  • ГОСТ Р ИСО/МЭК 7816-11-2013, страница 19 страница 19
  • ГОСТ Р ИСО/МЭК 7816-11-2013, страница 20 страница 20
  • ГОСТ Р ИСО/МЭК 7816-11-2013, страница 21 страница 21
  • ГОСТ Р ИСО/МЭК 7816-11-2013, страница 22 страница 22
  • ГОСТ Р ИСО/МЭК 7816-11-2013, страница 23 страница 23
  • ГОСТ Р ИСО/МЭК 7816-11-2013, страница 24 страница 24
  • ГОСТ Р ИСО/МЭК 7816-11-2013, страница 25 страница 25
  • ГОСТ Р ИСО/МЭК 7816-11-2013, страница 26 страница 26
  • ГОСТ Р ИСО/МЭК 7816-11-2013, страница 27 страница 27
  • ГОСТ Р ИСО/МЭК 7816-11-2013, страница 28 страница 28
  • ГОСТ Р ИСО/МЭК 7816-11-2013, страница 29 страница 29
  • ГОСТ Р ИСО/МЭК 7816-11-2013, страница 30 страница 30
  • ГОСТ Р ИСО/МЭК 7816-11-2013, страница 31 страница 31
  • ГОСТ Р ИСО/МЭК 7816-11-2013, страница 32 страница 32
  • ГОСТ Р ИСО/МЭК 7816-11-2013, страница 33 страница 33
  • ГОСТ Р ИСО/МЭК 7816-11-2013, страница 34 страница 34
  • ГОСТ Р ИСО/МЭК 7816-11-2013, страница 35 страница 35
  • ГОСТ Р ИСО/МЭК 7816-11-2013, страница 36 страница 36