ГОСТ 7634-2023 Подшипники качения. Подшипники цилиндрические двухрядные и многорядные. Общие технические требования

Категории ГОСТ 7634-2023 по ОКС:
Статус документа:
действует, введён в действие 01.05.2023
Название на английском языке:
Rolling bearings. Double-row and multi-row cylindrical bearings. General technical requirements
Дата актуализации информации по стандарту:
24.12.2025, в 10:48 (менее месяца назад)
Вид стандарта:
временно не известен
Дата начала действия ГОСТа:
2023-05-01
Дата последнего издания документа:
2023-03-21
Число страниц:
21
Назначение ГОСТ 7634-2023:
Настоящий стандарт распространяется на цилиндрические двухрядные и многорядные подшипники (далее – подшипники), изготовленные по ГОСТ 520, и устанавливает их классификацию по конструктивным исполнениям и присоединительным размерам, указания по применению и эксплуатации, а также дополнительные технические требования к данной группе однородной продукции
Документ принят орг-ей:
Межгосударственный Совет по стандартизации метрологии и сертификации, протокол №159-П
Ключевые слова документа:
двухрядный, классификация, многорядный, подшипники качения, присоединительные размеры, технические требования, указания по эксплуатации, цилиндрический

Скачать ГОСТ 7634-2023 вы можете в следующих версиях:

Тип файла:
Дата добавления:
Загрузок:
Размер:
Тип файла:
PDF с изображениями
Добавлен:
27/11/2025 09:29
Скачиваний:
22
Размер файла:
3.68 Мб

Поправки и изменения к ГОСТ 7634-2023:

  • Наименование, вид:
    Дата
    регистрации:
    начала действия:
  • Поправка к ГОСТ 7634-2023

    Тип изменения: Поправка
    Номер изменения:
    Регистрационный номер: -

    2025-11-14
    2025-11-14
  • ГОСТ 7634-2023, страница 1 страница 1
  • ГОСТ 7634-2023, страница 2 страница 2
  • ГОСТ 7634-2023, страница 3 страница 3
  • ГОСТ 7634-2023, страница 4 страница 4
  • ГОСТ 7634-2023, страница 5 страница 5
  • ГОСТ 7634-2023, страница 6 страница 6
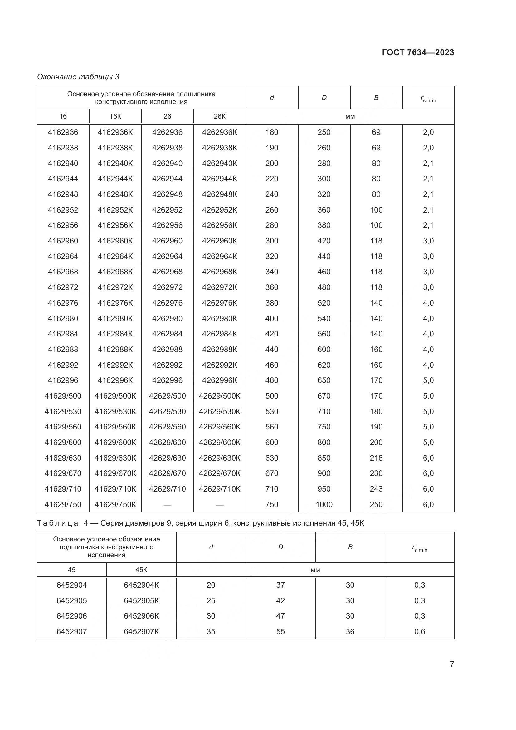
  • ГОСТ 7634-2023, страница 7 страница 7
  • ГОСТ 7634-2023, страница 8 страница 8
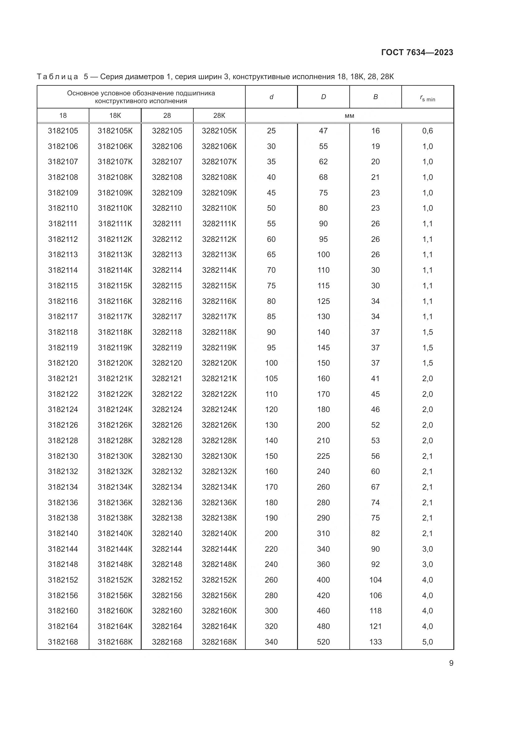
  • ГОСТ 7634-2023, страница 9 страница 9
  • ГОСТ 7634-2023, страница 10 страница 10
  • ГОСТ 7634-2023, страница 11 страница 11
  • ГОСТ 7634-2023, страница 12 страница 12
  • ГОСТ 7634-2023, страница 13 страница 13
  • ГОСТ 7634-2023, страница 14 страница 14
  • ГОСТ 7634-2023, страница 15 страница 15
  • ГОСТ 7634-2023, страница 16 страница 16
  • ГОСТ 7634-2023, страница 17 страница 17
  • ГОСТ 7634-2023, страница 18 страница 18
  • ГОСТ 7634-2023, страница 19 страница 19
  • ГОСТ 7634-2023, страница 20 страница 20