ГОСТ Р 71921-2024
ГОСТ Р 71921-2024 Микросхемы интегральные. Цифро-аналоговые преобразователи. Методы измерения времени установления выходного напряжения (тока)
Категории ГОСТ Р 71921-2024 по ОКС:- 17. Метрология и измерения. Физические явления.
- 17.80. Измерения времени, скорости, ускорения, угловой скорости *включая измерительные приборы *приборы для измерений времени см. 39.040
- 17.220. Электричество. Магнетизм. Электрические и магнитные измерения
- 17.220.20 Измерения электрических и магнитных величин *включая измерительные приборы, измерительные трансформаторы *счетчики электроэнергии в зданиях см. 91.140.50
- Статус документа:
- действует, введён в действие 01.03.2025
- Название на английском языке:
- Integrated circuits. Digital-analog converters. Methods for measuring the time of setting the output voltage (current)
- Дата актуализации информации по стандарту:
- 16.10.2025, в 14:46 (менее месяца назад)
- Вид стандарта:
- временно не известен
- Дата начала действия ГОСТа:
- 2025-03-01
- Число страниц:
- 12
- Назначение ГОСТ Р 71921-2024:
- не указано
Нормативные ссылки, связанные с ГОСТ Р 71921-2024:
- Стандарт ссылается на ГОСТы:
- ГОСТ Р 52791-2007
Скачать ГОСТ Р 71921-2024 вы можете в следующих версиях:
В данный момент версий документа для скачивания не добавлено.
Мы стараемся пополнять базу документов еженедельно и из разных источников, в обозримом будущем версии для этого ГОСТа появятся.
Вы можете просмотреть online текст стандарта ГОСТ Р 71921-2024
Просмотреть текст ГОСТ Р 71921-2024Текст стандарта
-
страница 1
-
страница 2
-
страница 3
-
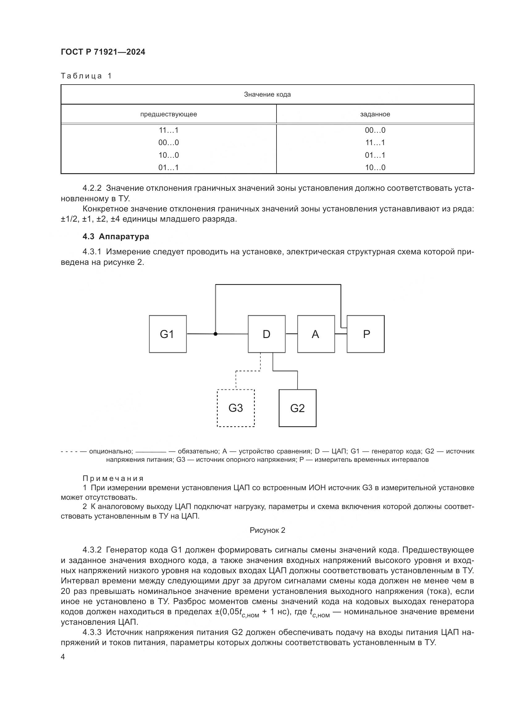
страница 4
-
страница 5
-
страница 6
-
страница 7
-
страница 8
-
страница 9
-
страница 10
-
страница 11
-
страница 12