ГОСТ Р 71417-2024 Приборы ферритовые сверхвысокочастотного диапазона. Метод измерения развязок трехплечных циркуляторов на высоком уровне мощности

Категории ГОСТ Р 71417-2024 по ОКС:
Статус документа:
действует, введён в действие 01.03.2025
Название на английском языке:
Microwave ferrite devices. Method of measurement of isolation of tree-port circulator at high power level
Дата актуализации информации по стандарту:
25.08.2025, в 13:15 (менее 3 месяцев назад)
Вид стандарта:
временно не известен
Дата начала действия ГОСТа:
2025-03-01
Число страниц:
8
Назначение ГОСТ Р 71417-2024:
не указано
Нормативные ссылки, связанные с ГОСТ Р 71417-2024:

Скачать ГОСТ Р 71417-2024 вы можете в следующих версиях:

В данный момент версий документа для скачивания не добавлено.

Мы стараемся пополнять базу документов еженедельно и из разных источников, в обозримом будущем версии для этого ГОСТа появятся.

Вы можете просмотреть online текст стандарта ГОСТ Р 71417-2024

Просмотреть текст ГОСТ Р 71417-2024

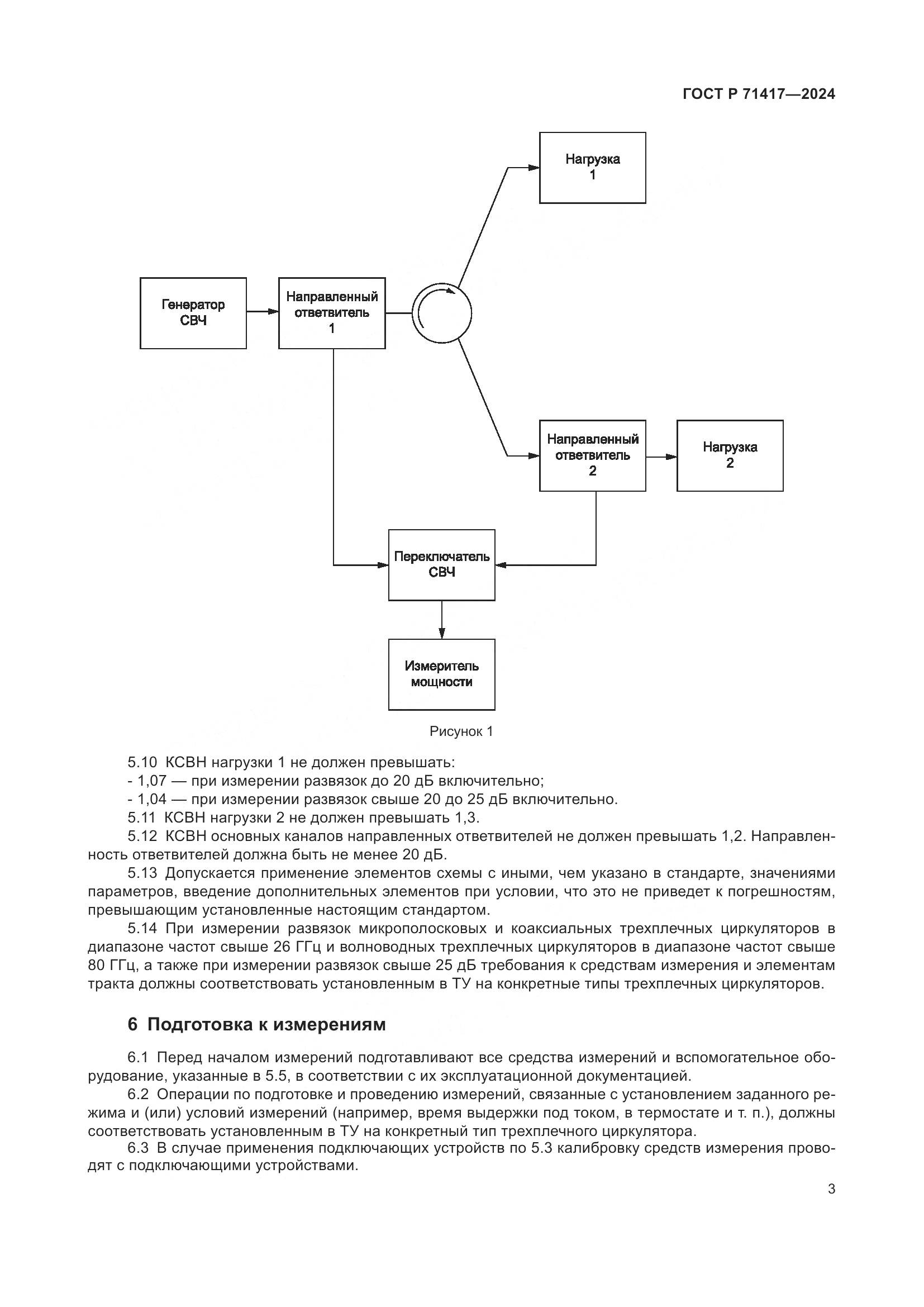
Текст стандарта

  • ГОСТ Р 71417-2024, страница 1 страница 1
  • ГОСТ Р 71417-2024, страница 2 страница 2
  • ГОСТ Р 71417-2024, страница 3 страница 3
  • ГОСТ Р 71417-2024, страница 4 страница 4
  • ГОСТ Р 71417-2024, страница 5 страница 5
  • ГОСТ Р 71417-2024, страница 6 страница 6
  • ГОСТ Р 71417-2024, страница 7 страница 7
  • ГОСТ Р 71417-2024, страница 8 страница 8