ГОСТ ISO 6498-2014 Корма, комбикорма. Подготовка проб для испытаний

Категории ГОСТ ISO 6498-2014 по ОКС:
Статус документа:
действует, введён в действие 01.01.2016
Название на английском языке:
Feeds, compound feeds. Preparation of samples for testing
Дата актуализации информации по стандарту:
17.09.2019, в 21:33 (более года назад)
Вид стандарта:
Стандарты на методы контроля
Дата начала действия ГОСТа:
2016-01-01
Дата последнего издания документа:
2015-03-03
Число страниц:
52
Назначение ГОСТ ISO 6498-2014:
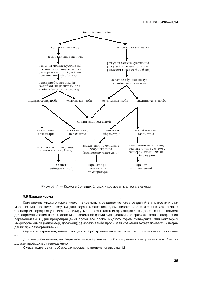
Настоящий стандарт распространяется на корма, в том числе на корма для непродуктивных животных, комбикорма и устанавливает руководящие указания по подготовке анализируемых проб из лабораторных проб. Допускается для отдельных методов испытаний применять другие требования к подготовке проб, определенные нормативно-правовыми документами
Документ принят орг-ей:
Межгосударственный Совет по стандартизации метрологии и сертификации, протокол №69-П
Ключевые слова документа:
анализируемая проба, грубые, жидкие, измельчение, консервированные, контрольная проба, корма, лабораторная проба, липкие, навеска, партия, подготовка проб, премикс, семена масличных культур, смешивание, сокращение массы, стабильные и нестабильные параметры, сухие, сушка, твердый жир
Нормативные ссылки, связанные с ГОСТ ISO 6498-2014:

Скачать ГОСТ ISO 6498-2014 вы можете в следующих версиях:

Дата добавления:
Тип файла:
Загрузок:
Размер:
23/01/2016 17:55
PDF с изображениями
0
2.33 Мб

Текст стандарта

  • ГОСТ ISO 6498-2014, страница 1 страница 1
  • ГОСТ ISO 6498-2014, страница 2 страница 2
  • ГОСТ ISO 6498-2014, страница 3 страница 3
  • ГОСТ ISO 6498-2014, страница 4 страница 4
  • ГОСТ ISO 6498-2014, страница 5 страница 5
  • ГОСТ ISO 6498-2014, страница 6 страница 6
  • ГОСТ ISO 6498-2014, страница 7 страница 7
  • ГОСТ ISO 6498-2014, страница 8 страница 8
  • ГОСТ ISO 6498-2014, страница 9 страница 9
  • ГОСТ ISO 6498-2014, страница 10 страница 10
  • ГОСТ ISO 6498-2014, страница 11 страница 11
  • ГОСТ ISO 6498-2014, страница 12 страница 12
  • ГОСТ ISO 6498-2014, страница 13 страница 13
  • ГОСТ ISO 6498-2014, страница 14 страница 14
  • ГОСТ ISO 6498-2014, страница 15 страница 15
  • ГОСТ ISO 6498-2014, страница 16 страница 16
  • ГОСТ ISO 6498-2014, страница 17 страница 17
  • ГОСТ ISO 6498-2014, страница 18 страница 18
  • ГОСТ ISO 6498-2014, страница 19 страница 19
  • ГОСТ ISO 6498-2014, страница 20 страница 20
  • ГОСТ ISO 6498-2014, страница 21 страница 21
  • ГОСТ ISO 6498-2014, страница 22 страница 22
  • ГОСТ ISO 6498-2014, страница 23 страница 23
  • ГОСТ ISO 6498-2014, страница 24 страница 24
  • ГОСТ ISO 6498-2014, страница 25 страница 25
  • ГОСТ ISO 6498-2014, страница 26 страница 26
  • ГОСТ ISO 6498-2014, страница 27 страница 27
  • ГОСТ ISO 6498-2014, страница 28 страница 28
  • ГОСТ ISO 6498-2014, страница 29 страница 29
  • ГОСТ ISO 6498-2014, страница 30 страница 30
  • ГОСТ ISO 6498-2014, страница 31 страница 31
  • ГОСТ ISO 6498-2014, страница 32 страница 32
  • ГОСТ ISO 6498-2014, страница 33 страница 33
  • ГОСТ ISO 6498-2014, страница 34 страница 34
  • ГОСТ ISO 6498-2014, страница 35 страница 35
  • ГОСТ ISO 6498-2014, страница 36 страница 36
  • ГОСТ ISO 6498-2014, страница 37 страница 37
  • ГОСТ ISO 6498-2014, страница 38 страница 38
  • ГОСТ ISO 6498-2014, страница 39 страница 39
  • ГОСТ ISO 6498-2014, страница 40 страница 40
  • ГОСТ ISO 6498-2014, страница 41 страница 41
  • ГОСТ ISO 6498-2014, страница 42 страница 42
  • ГОСТ ISO 6498-2014, страница 43 страница 43
  • ГОСТ ISO 6498-2014, страница 44 страница 44
  • ГОСТ ISO 6498-2014, страница 45 страница 45
  • ГОСТ ISO 6498-2014, страница 46 страница 46
  • ГОСТ ISO 6498-2014, страница 47 страница 47
  • ГОСТ ISO 6498-2014, страница 48 страница 48
  • ГОСТ ISO 6498-2014, страница 49 страница 49
  • ГОСТ ISO 6498-2014, страница 50 страница 50
  • ГОСТ ISO 6498-2014, страница 51 страница 51
  • ГОСТ ISO 6498-2014, страница 52 страница 52