ГОСТ Р МЭК 61194-2013 Системы фотоэлектрические автономные. Эксплуатационные характеристики

Категории ГОСТ Р МЭК 61194-2013 по ОКС:
Статус документа:
принят, введён в действие 01.01.2015
Название на английском языке:
Characteristic parameters of stand-alone photovoltaic systems
Дата актуализации информации по стандарту:
30.11.-0001, в 00:00 (более года назад)
Вид стандарта:
временно не известен
Дата начала действия ГОСТа:
2015-01-01
Коды документа ГОСТ Р МЭК 61194-2013:
Код КГС:
Е60
Число страниц:
не известно
Назначение ГОСТ Р МЭК 61194-2013:
Настоящий стандарт распространяется на автономные фотоэлектрические системы и устанавливает основные электрические, механические и экологические характеристики систем для описания и анализа при их эксплуатации
Ключевые слова документа:
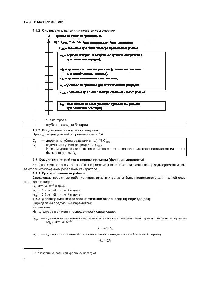
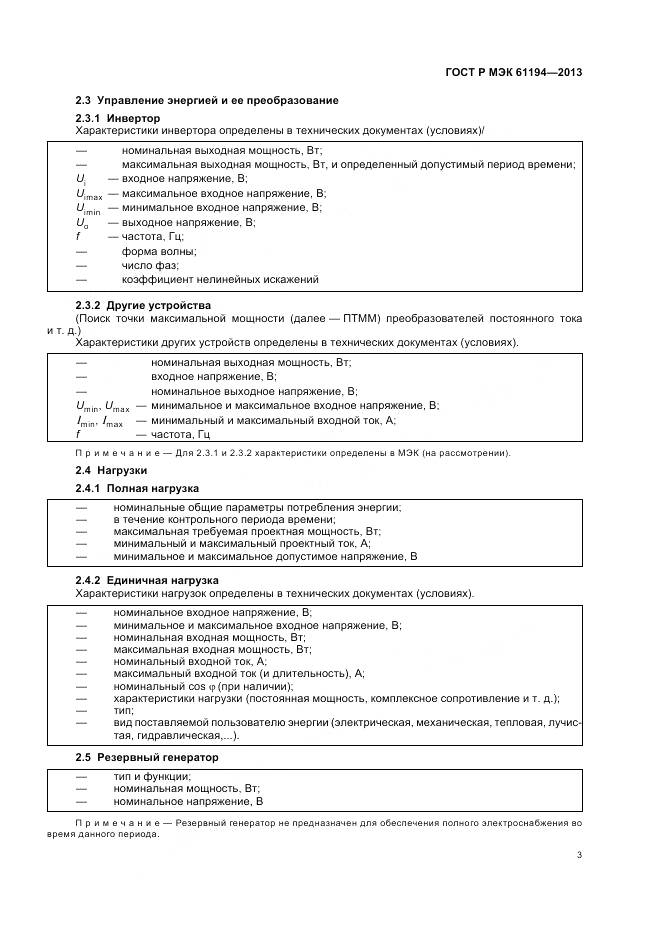
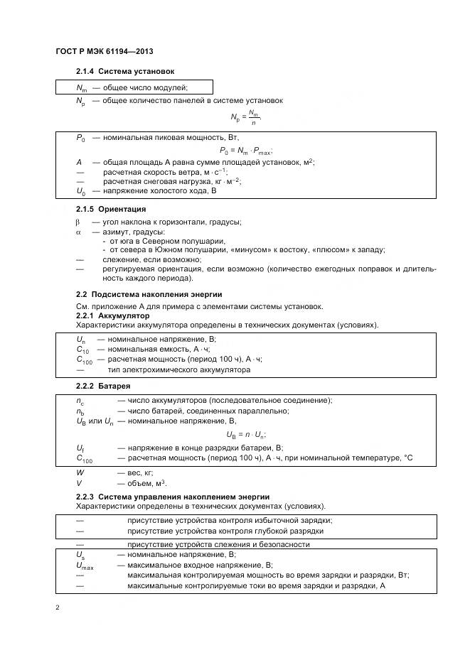
единичная нагрузка, кумулятивная работа, мгновенная работа, подсистема накопления энергии, полная нагрузка, резервный генератор, система установок, фотоэлектрические автономные системы
Нормативные ссылки, связанные с ГОСТ Р МЭК 61194-2013:

Скачать ГОСТ Р МЭК 61194-2013 вы можете в следующих версиях:

Дата добавления:
Тип файла:
Загрузок:
Размер:
23/01/2016 17:48
PDF с изображениями
0
0.43 Мб

Текст стандарта

  • ГОСТ Р МЭК 61194-2013, страница 1 страница 1
  • ГОСТ Р МЭК 61194-2013, страница 2 страница 2
  • ГОСТ Р МЭК 61194-2013, страница 3 страница 3
  • ГОСТ Р МЭК 61194-2013, страница 4 страница 4
  • ГОСТ Р МЭК 61194-2013, страница 5 страница 5
  • ГОСТ Р МЭК 61194-2013, страница 6 страница 6
  • ГОСТ Р МЭК 61194-2013, страница 7 страница 7
  • ГОСТ Р МЭК 61194-2013, страница 8 страница 8
  • ГОСТ Р МЭК 61194-2013, страница 9 страница 9
  • ГОСТ Р МЭК 61194-2013, страница 10 страница 10
  • ГОСТ Р МЭК 61194-2013, страница 11 страница 11
  • ГОСТ Р МЭК 61194-2013, страница 12 страница 12