ГОСТ Р МЭК 61069-3-2012 Измерение и управление промышленным процессом. Определение свойств системы с целью ее оценки. Часть 3. Оценка функциональности системы

Категории ГОСТ Р МЭК 61069-3-2012 по ОКС:
Статус документа:
принят, введён в действие 01.07.2014
Название на английском языке:
Industrial-process measurement and control. Evaluation of system properties for the purpose of system assessment. Part 3. Assessment of system functionality
Дата актуализации информации по стандарту:
30.11.-0001, в 00:00 (более года назад)
Вид стандарта:
временно не известен
Дата начала действия ГОСТа:
2014-07-01
Число страниц:
не известно
Назначение ГОСТ Р МЭК 61069-3-2012:
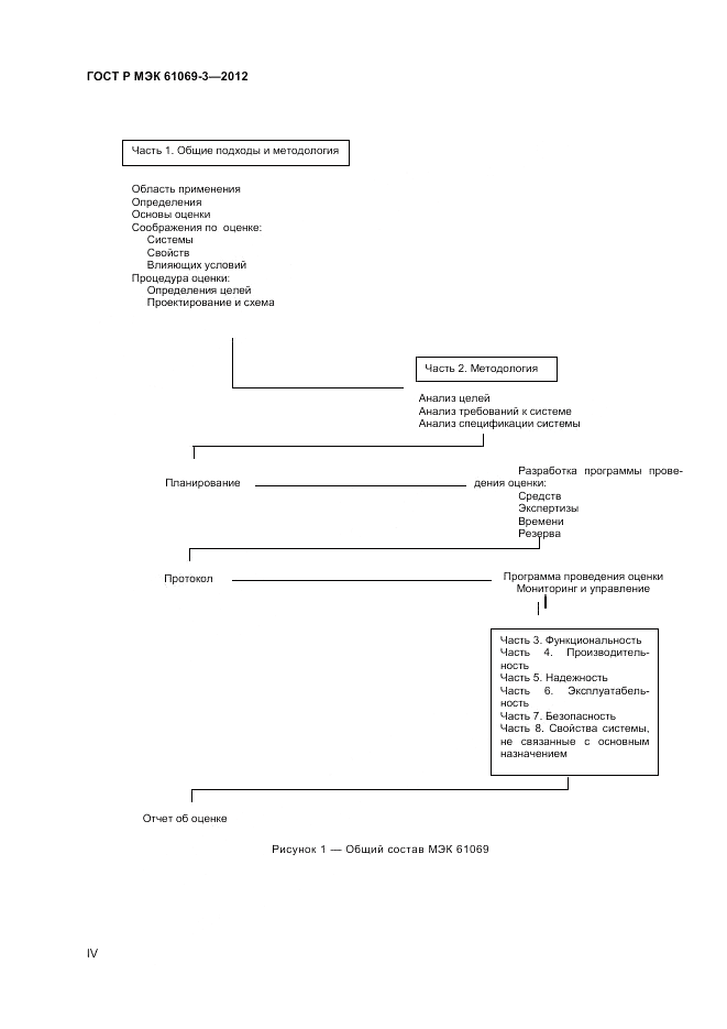
В настоящем стандарте подробно описан метод, используемый для систематической оценки функциональности системы измерения и управления промышленным процессом. Детальная методология оценки, представленная в МЭК 61069-2, применима для разработки программы оценки функциональности. В настоящем стандарте анализируют вспомогательные свойства функциональности и описывают критерии, принимаемые во внимание при оценке функциональности
Документ разработан орг-ей:
Федеральное агентство по техническому регулированию и метрологии (Росстандарт)
Ключевые слова документа:
анализ свойств системы, задача, методология оценки, модуль, оценка системы, промышленный процесс, свойства системы, система измерения и управления, функциональность системы, функция, элемент
Нормативные ссылки, связанные с ГОСТ Р МЭК 61069-3-2012:

Скачать ГОСТ Р МЭК 61069-3-2012 вы можете в следующих версиях:

Дата добавления:
Тип файла:
Загрузок:
Размер:
23/01/2016 17:52
PDF с изображениями
0
0.89 Мб

Текст стандарта

  • ГОСТ Р МЭК 61069-3-2012, страница 1 страница 1
  • ГОСТ Р МЭК 61069-3-2012, страница 2 страница 2
  • ГОСТ Р МЭК 61069-3-2012, страница 3 страница 3
  • ГОСТ Р МЭК 61069-3-2012, страница 4 страница 4
  • ГОСТ Р МЭК 61069-3-2012, страница 5 страница 5
  • ГОСТ Р МЭК 61069-3-2012, страница 6 страница 6
  • ГОСТ Р МЭК 61069-3-2012, страница 7 страница 7
  • ГОСТ Р МЭК 61069-3-2012, страница 8 страница 8
  • ГОСТ Р МЭК 61069-3-2012, страница 9 страница 9
  • ГОСТ Р МЭК 61069-3-2012, страница 10 страница 10
  • ГОСТ Р МЭК 61069-3-2012, страница 11 страница 11
  • ГОСТ Р МЭК 61069-3-2012, страница 12 страница 12
  • ГОСТ Р МЭК 61069-3-2012, страница 13 страница 13
  • ГОСТ Р МЭК 61069-3-2012, страница 14 страница 14
  • ГОСТ Р МЭК 61069-3-2012, страница 15 страница 15
  • ГОСТ Р МЭК 61069-3-2012, страница 16 страница 16
  • ГОСТ Р МЭК 61069-3-2012, страница 17 страница 17
  • ГОСТ Р МЭК 61069-3-2012, страница 18 страница 18
  • ГОСТ Р МЭК 61069-3-2012, страница 19 страница 19
  • ГОСТ Р МЭК 61069-3-2012, страница 20 страница 20
  • ГОСТ Р МЭК 61069-3-2012, страница 21 страница 21
  • ГОСТ Р МЭК 61069-3-2012, страница 22 страница 22
  • ГОСТ Р МЭК 61069-3-2012, страница 23 страница 23
  • ГОСТ Р МЭК 61069-3-2012, страница 24 страница 24