ГОСТ Р МЭК 60923-2011 Устройства управления лампами. Аппараты пускорегулирующие для разрядных ламп (кроме люминесцентных ламп). Требования к рабочим характеристикам

Категории ГОСТ Р МЭК 60923-2011 по ОКС:
Статус документа:
действует, введён в действие 01.01.2013
Название на английском языке:
Lamp controlgear. Ballasts for discharge lamps (excluding fluorescent lamps). Performance requirements
Дата актуализации информации по стандарту:
30.11.-0001, в 00:00 (более года назад)
Вид стандарта:
временно не известен
Дата начала действия ГОСТа:
2013-01-01
Коды документа ГОСТ Р МЭК 60923-2011:
Код ОКП:
346170
Код КГС:
Е83
Число страниц:
не известно
Назначение ГОСТ Р МЭК 60923-2011:
Настоящий стандарт устанавливает требования к рабочим характеристикам пускорегулирующих аппаратов для разрядных ламп, таких как: ртутные высокого давления, натриевые низкого давления, натриевые высокого давления и металлогалогенные. Настоящий стандарт распространяется на пускорегулирующие аппараты индуктивного типа для использования в сети переменного тока напряжением до 1000 В включительно, частотой 50 или 60 Гц, работающих совместно с разрядными лампами, имеющими нормируемую мощность, размеры и характеристики, соответствующие стандартам Международной электротехнической комиссии на лампы
Ключевые слова документа:
аппараты пускорегулирующие для разрядных ламп высокого давления, испытания, рабочие характеристики, устройства управления лампами
Нормативные ссылки, связанные с ГОСТ Р МЭК 60923-2011:

Скачать ГОСТ Р МЭК 60923-2011 вы можете в следующих версиях:

Дата добавления:
Тип файла:
Загрузок:
Размер:
23/01/2016 18:06
PDF с изображениями
0
0.76 Мб

Текст стандарта

  • ГОСТ Р МЭК 60923-2011, страница 1 страница 1
  • ГОСТ Р МЭК 60923-2011, страница 2 страница 2
  • ГОСТ Р МЭК 60923-2011, страница 3 страница 3
  • ГОСТ Р МЭК 60923-2011, страница 4 страница 4
  • ГОСТ Р МЭК 60923-2011, страница 5 страница 5
  • ГОСТ Р МЭК 60923-2011, страница 6 страница 6
  • ГОСТ Р МЭК 60923-2011, страница 7 страница 7
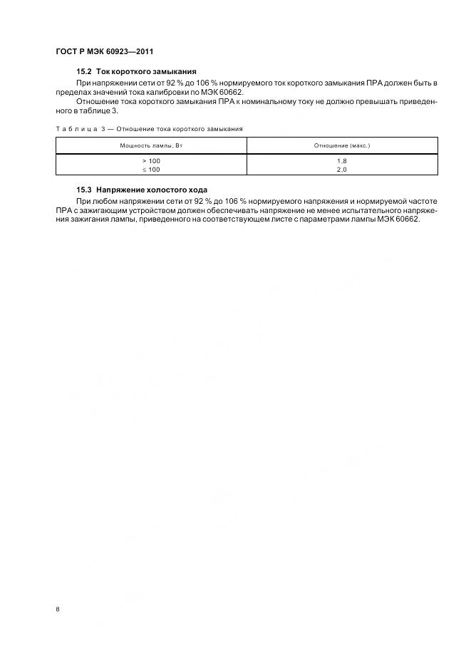
  • ГОСТ Р МЭК 60923-2011, страница 8 страница 8
  • ГОСТ Р МЭК 60923-2011, страница 9 страница 9
  • ГОСТ Р МЭК 60923-2011, страница 10 страница 10
  • ГОСТ Р МЭК 60923-2011, страница 11 страница 11
  • ГОСТ Р МЭК 60923-2011, страница 12 страница 12
  • ГОСТ Р МЭК 60923-2011, страница 13 страница 13
  • ГОСТ Р МЭК 60923-2011, страница 14 страница 14
  • ГОСТ Р МЭК 60923-2011, страница 15 страница 15
  • ГОСТ Р МЭК 60923-2011, страница 16 страница 16
  • ГОСТ Р МЭК 60923-2011, страница 17 страница 17
  • ГОСТ Р МЭК 60923-2011, страница 18 страница 18
  • ГОСТ Р МЭК 60923-2011, страница 19 страница 19
  • ГОСТ Р МЭК 60923-2011, страница 20 страница 20