ГОСТ Р МЭК 60896-22-2015 Батареи свинцово-кислотные стационарные. Часть 22. Типы с регулирующим клапаном. Требования

Категории ГОСТ Р МЭК 60896-22-2015 по ОКС:
Статус документа:
действует, введён в действие 01.01.2017
Название на английском языке:
Stationary lead-acid batteries. Part 22. Valve regulated types. Requirements
Дата актуализации информации по стандарту:
23.10.2025, в 15:45 (менее 3 месяцев назад)
Вид стандарта:
временно не известен
Дата начала действия ГОСТа:
2017-01-01
Число страниц:
28
Назначение ГОСТ Р МЭК 60896-22-2015:
не указано

Скачать ГОСТ Р МЭК 60896-22-2015 вы можете в следующих версиях:

Тип файла:
Дата добавления:
Загрузок:
Размер:
Тип файла:
PDF с изображениями
Добавлен:
20/11/2025 15:31
Скачиваний:
23
Размер файла:
2.46 Мб
  • ГОСТ Р МЭК 60896-22-2015, страница 1 страница 1
  • ГОСТ Р МЭК 60896-22-2015, страница 2 страница 2
  • ГОСТ Р МЭК 60896-22-2015, страница 3 страница 3
  • ГОСТ Р МЭК 60896-22-2015, страница 4 страница 4
  • ГОСТ Р МЭК 60896-22-2015, страница 5 страница 5
  • ГОСТ Р МЭК 60896-22-2015, страница 6 страница 6
  • ГОСТ Р МЭК 60896-22-2015, страница 7 страница 7
  • ГОСТ Р МЭК 60896-22-2015, страница 8 страница 8
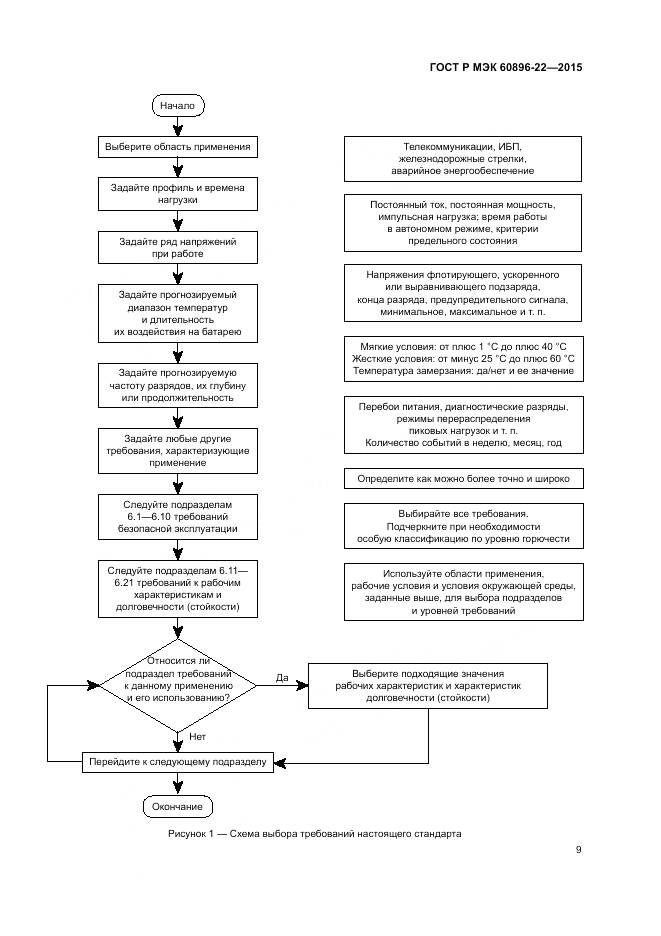
  • ГОСТ Р МЭК 60896-22-2015, страница 9 страница 9
  • ГОСТ Р МЭК 60896-22-2015, страница 10 страница 10
  • ГОСТ Р МЭК 60896-22-2015, страница 11 страница 11
  • ГОСТ Р МЭК 60896-22-2015, страница 12 страница 12
  • ГОСТ Р МЭК 60896-22-2015, страница 13 страница 13
  • ГОСТ Р МЭК 60896-22-2015, страница 14 страница 14
  • ГОСТ Р МЭК 60896-22-2015, страница 15 страница 15
  • ГОСТ Р МЭК 60896-22-2015, страница 16 страница 16
  • ГОСТ Р МЭК 60896-22-2015, страница 17 страница 17
  • ГОСТ Р МЭК 60896-22-2015, страница 18 страница 18
  • ГОСТ Р МЭК 60896-22-2015, страница 19 страница 19
  • ГОСТ Р МЭК 60896-22-2015, страница 20 страница 20
  • ГОСТ Р МЭК 60896-22-2015, страница 21 страница 21
  • ГОСТ Р МЭК 60896-22-2015, страница 22 страница 22
  • ГОСТ Р МЭК 60896-22-2015, страница 23 страница 23
  • ГОСТ Р МЭК 60896-22-2015, страница 24 страница 24
  • ГОСТ Р МЭК 60896-22-2015, страница 25 страница 25
  • ГОСТ Р МЭК 60896-22-2015, страница 26 страница 26
  • ГОСТ Р МЭК 60896-22-2015, страница 27 страница 27
  • ГОСТ Р МЭК 60896-22-2015, страница 28 страница 28