ГОСТ IEC 60227-4-2011
ГОСТ IEC 60227-4-2011 Кабели с поливинилхлоридной изоляцией на номинальное напряжение до 450/750 В включительно. Кабели в оболочке для стационарной прокладки
Категории ГОСТ IEC 60227-4-2011 по ОКС:- Статус документа:
- действует, введён в действие 01.01.2013
- Название на английском языке:
- Polyvinyl chloride insulated cables of rated voltages up to and including 450/750 V. Shethed cables for fixed wiring
- Дата актуализации информации по стандарту:
- 21.10.2025, в 10:27 (менее 3 месяцев назад)
- Вид стандарта:
- Стандарты на продукцию (услуги)
- Дата начала действия ГОСТа:
- 2013-01-01
- Дата последнего издания документа:
- 2014-08-25
Коды документа ГОСТ IEC 60227-4-2011:
- Код КГС:
- Е46
- Число страниц:
- 9
- Назначение ГОСТ IEC 60227-4-2011:
- Настоящий стандарт устанавливает технические требования к кабелям в облегченной поливинилхлоридной оболочке для стационарной прокладки на номинальное напряжение до 300/500 В включительно. Кабели должны соответствовать общим требованиям IEC 60227-1 и конкретным требованиям настоящего стандарта
- Документ разработан орг-ей:
- Федеральное агентство по техническому регулированию и метрологии
- Документ принят орг-ей:
- Межгосударственный Совет по стандартизации метрологии и сертификации, протокол №40-2011
- Ключевые слова документа:
- кабели, номинальное напряжение, поливинилхлоридная изоляция, стационарная прокладка
Нормативные ссылки, связанные с ГОСТ IEC 60227-4-2011:
- IEC:
- IEC 60227-1(2007);IEC 60227-2(2007);IEC 60228(2004);IEC 60332-1(1993);IEC 60719(1999);IEC 60811-1-1(1985);IEC 60811-1-2(1985);IEC 60811-1-4(1985);IEC 60811-3-1(1985);IEC 60811-3-2(1985)
- Стандарт ссылается на ГОСТы:
- ГОСТ 12.1.005-88
- На стандарт ссылаются:
- ГОСТ 9.707, ГОСТ 31947-2012, ГОСТ 12.2.091-2012, ГОСТ 12.2.091-2002, ГОСТ 1461-75
Скачать ГОСТ IEC 60227-4-2011 вы можете в следующих версиях:
Тип файла:
Дата добавления:
Загрузок:
Размер:
Ссылка на скачивание:
Добавлен:
21/11/2025 10:13
Скачиваний:
3
Размер файла:
0.71 Мб
Ссылка для скачивания:
-
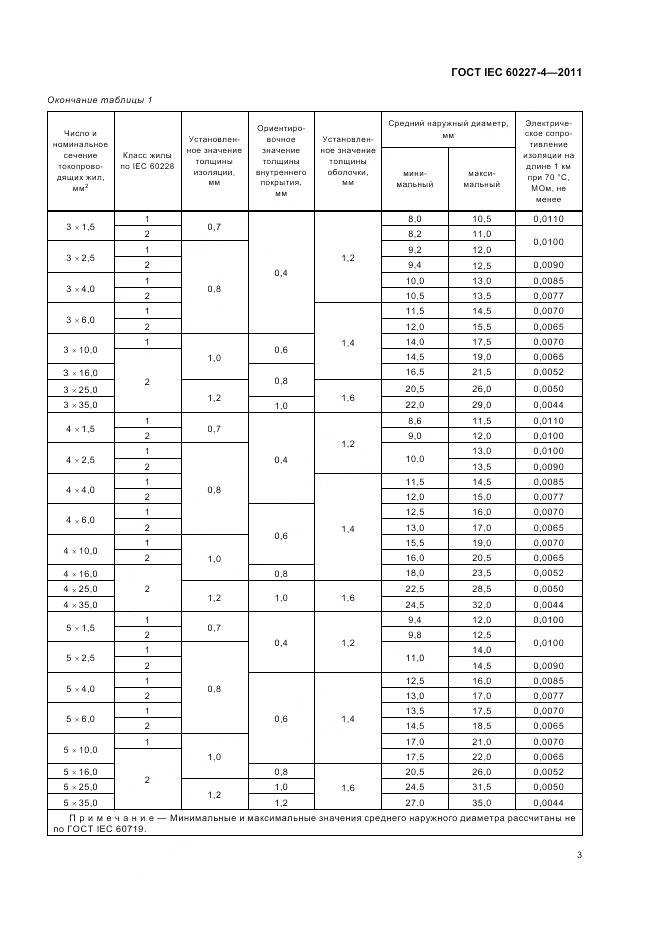
страница 1
-
страница 2
-
страница 3
-
страница 4
-
страница 5
-
страница 6
-
страница 7
-
страница 8
-
страница 9