ГОСТ Р 56931-2016 Продукты пищевые и продовольственное сырье. Вольтамперометрический метод определения содержания ртути

Категории ГОСТ Р 56931-2016 по ОКС:
Статус документа:
действует, введён в действие 01.07.2017
Название на английском языке:
Foodstuffs and food raw materials. Voltammetric method of mercury determination
Дата актуализации информации по стандарту:
23.10.2025, в 15:59 (менее 3 месяцев назад)
Вид стандарта:
временно не известен
Дата начала действия ГОСТа:
2017-07-01
Число страниц:
20
Назначение ГОСТ Р 56931-2016:
не указано

Скачать ГОСТ Р 56931-2016 вы можете в следующих версиях:

Тип файла:
Дата добавления:
Загрузок:
Размер:
Тип файла:
PDF с изображениями
Добавлен:
20/11/2025 15:30
Скачиваний:
21
Размер файла:
1.66 Мб
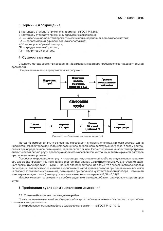
  • ГОСТ Р 56931-2016, страница 1 страница 1
  • ГОСТ Р 56931-2016, страница 2 страница 2
  • ГОСТ Р 56931-2016, страница 3 страница 3
  • ГОСТ Р 56931-2016, страница 4 страница 4
  • ГОСТ Р 56931-2016, страница 5 страница 5
  • ГОСТ Р 56931-2016, страница 6 страница 6
  • ГОСТ Р 56931-2016, страница 7 страница 7
  • ГОСТ Р 56931-2016, страница 8 страница 8
  • ГОСТ Р 56931-2016, страница 9 страница 9
  • ГОСТ Р 56931-2016, страница 10 страница 10
  • ГОСТ Р 56931-2016, страница 11 страница 11
  • ГОСТ Р 56931-2016, страница 12 страница 12
  • ГОСТ Р 56931-2016, страница 13 страница 13
  • ГОСТ Р 56931-2016, страница 14 страница 14
  • ГОСТ Р 56931-2016, страница 15 страница 15
  • ГОСТ Р 56931-2016, страница 16 страница 16
  • ГОСТ Р 56931-2016, страница 17 страница 17
  • ГОСТ Р 56931-2016, страница 18 страница 18
  • ГОСТ Р 56931-2016, страница 19 страница 19
  • ГОСТ Р 56931-2016, страница 20 страница 20