ГОСТ Р 55791-2013 Изделия сырокопченые и сыровяленые из мяса цыплят-бройлеров. Технические условия

Категории ГОСТ Р 55791-2013 по ОКС:
Статус документа:
действует, введён в действие 01.01.2015
Название на английском языке:
Smoked and jerked products of chicken broilers meat. Specifications
Дата актуализации информации по стандарту:
20.10.2025, в 13:33 (менее 3 месяцев назад)
Вид стандарта:
временно не известен
Дата начала действия ГОСТа:
2015-01-01
Коды документа ГОСТ Р 55791-2013:
Код ОКП:
921340;921355
Число страниц:
24
Назначение ГОСТ Р 55791-2013:
Настоящий стандарт распространяется на изделия сырокопченые и сыровяленые из мяса цыплят-бройлеров, предназначенные для реализации и непосредственного употребления в пищу, приготовления различных блюд и закусок и устанавливает требования, присущие группе данного вида продуктов
Ключевые слова документа:
«драммет» (плечевая часть крыла), «флиппер» (кисть крыла), «флэт» (локтевая часть крыла), бедро, голень, карпаччо, колбаски, колбасы, крыло, мясо цыплят-бройлеров, окорочок, стейк, сыровяленые и сырокопченые изделия

Скачать ГОСТ Р 55791-2013 вы можете в следующих версиях:

Тип файла:
Дата добавления:
Загрузок:
Размер:
Тип файла:
PDF с изображениями
Добавлен:
21/11/2025 10:16
Скачиваний:
16
Размер файла:
1.99 Мб
  • ГОСТ Р 55791-2013, страница 1 страница 1
  • ГОСТ Р 55791-2013, страница 2 страница 2
  • ГОСТ Р 55791-2013, страница 3 страница 3
  • ГОСТ Р 55791-2013, страница 4 страница 4
  • ГОСТ Р 55791-2013, страница 5 страница 5
  • ГОСТ Р 55791-2013, страница 6 страница 6
  • ГОСТ Р 55791-2013, страница 7 страница 7
  • ГОСТ Р 55791-2013, страница 8 страница 8
  • ГОСТ Р 55791-2013, страница 9 страница 9
  • ГОСТ Р 55791-2013, страница 10 страница 10
  • ГОСТ Р 55791-2013, страница 11 страница 11
  • ГОСТ Р 55791-2013, страница 12 страница 12
  • ГОСТ Р 55791-2013, страница 13 страница 13
  • ГОСТ Р 55791-2013, страница 14 страница 14
  • ГОСТ Р 55791-2013, страница 15 страница 15
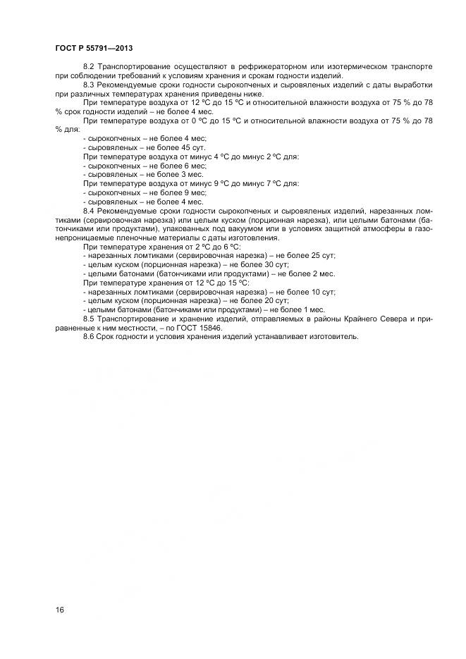
  • ГОСТ Р 55791-2013, страница 16 страница 16
  • ГОСТ Р 55791-2013, страница 17 страница 17
  • ГОСТ Р 55791-2013, страница 18 страница 18
  • ГОСТ Р 55791-2013, страница 19 страница 19
  • ГОСТ Р 55791-2013, страница 20 страница 20
  • ГОСТ Р 55791-2013, страница 21 страница 21
  • ГОСТ Р 55791-2013, страница 22 страница 22
  • ГОСТ Р 55791-2013, страница 23 страница 23
  • ГОСТ Р 55791-2013, страница 24 страница 24