ГОСТ Р 55079-2012 Сталь. Метод атомно-эмиссионного анализа с индуктивно связанной плазмой

Категории ГОСТ Р 55079-2012 по ОКС:
Статус документа:
действует, введён в действие 01.01.2014
Название на английском языке:
Steel. Method of inductively coupled plasma atomic-emission analysis
Дата актуализации информации по стандарту:
23.10.2025, в 15:28 (менее 3 месяцев назад)
Вид стандарта:
временно не известен
Дата начала действия ГОСТа:
2014-01-01
Коды документа ГОСТ Р 55079-2012:
Код КГС:
В39
Код ОКСТУ:
0709
Число страниц:
20
Назначение ГОСТ Р 55079-2012:
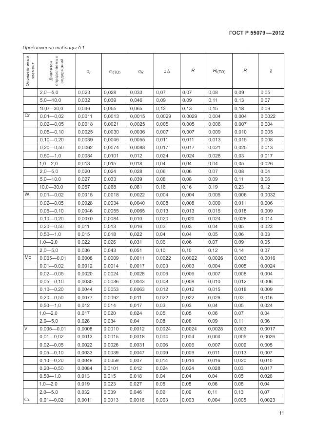
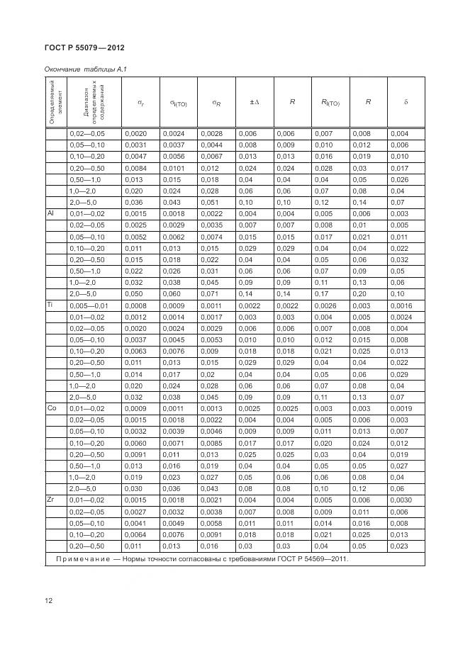
Настоящий стандарт устанавливает атомно-эмиссионный с индуктивно связанной плазмой спектрометрический метод определения массовой доли элементов в углеродистых, легированных, высоколегированных сталях. Стандарт применим для определения массовой доли элементов в анализируемых растворах как с использованием, так и без использования внутреннего стандарта
Документ разработан орг-ей:
Федеральное агентство по техническому регулированию и метрологии (Росстандарт)
Ключевые слова документа:
атомно-эмиссионный анализ, индуктивно связанная плазма, сталь

Скачать ГОСТ Р 55079-2012 вы можете в следующих версиях:

Тип файла:
Дата добавления:
Загрузок:
Размер:
Тип файла:
PDF с изображениями
Добавлен:
20/11/2025 15:32
Скачиваний:
24
Размер файла:
1.54 Мб
  • ГОСТ Р 55079-2012, страница 1 страница 1
  • ГОСТ Р 55079-2012, страница 2 страница 2
  • ГОСТ Р 55079-2012, страница 3 страница 3
  • ГОСТ Р 55079-2012, страница 4 страница 4
  • ГОСТ Р 55079-2012, страница 5 страница 5
  • ГОСТ Р 55079-2012, страница 6 страница 6
  • ГОСТ Р 55079-2012, страница 7 страница 7
  • ГОСТ Р 55079-2012, страница 8 страница 8
  • ГОСТ Р 55079-2012, страница 9 страница 9
  • ГОСТ Р 55079-2012, страница 10 страница 10
  • ГОСТ Р 55079-2012, страница 11 страница 11
  • ГОСТ Р 55079-2012, страница 12 страница 12
  • ГОСТ Р 55079-2012, страница 13 страница 13
  • ГОСТ Р 55079-2012, страница 14 страница 14
  • ГОСТ Р 55079-2012, страница 15 страница 15
  • ГОСТ Р 55079-2012, страница 16 страница 16
  • ГОСТ Р 55079-2012, страница 17 страница 17
  • ГОСТ Р 55079-2012, страница 18 страница 18
  • ГОСТ Р 55079-2012, страница 19 страница 19
  • ГОСТ Р 55079-2012, страница 20 страница 20