ГОСТ Р 54918-2012 Трубы обсадные, насосно-компрессорные, бурильные и трубы для трубороводов нефтяной и газовой промышленности. Формулы и расчет свойств

Категории ГОСТ Р 54918-2012 по ОКС:
Статус документа:
действует, введён в действие 01.10.2013
Название на английском языке:
Petroleum and natural gas industries. Equation and calculation for the properties of casing, tubing, drill pipe and line pipe used as casing or tubing
Дата актуализации информации по стандарту:
30.11.-0001, в 00:00 (более года назад)
Вид стандарта:
временно не известен
Дата начала действия ГОСТа:
2013-10-01
Коды документа ГОСТ Р 54918-2012:
Код ОКП:
132100;132700;132400;139000
Код КГС:
В62
Число страниц:
не известно
Назначение ГОСТ Р 54918-2012:
Настоящий стандарт распространяется на обсадные, насосно-компрессорные и бурильные трубы для нефтяной и газовой промышленности, а также на трубы для трубопроводов, применяемые в качестве обсадных и насосно-компрессорных труб
Ключевые слова документа:
бурильные, вероятностный подход, гидростатическое испытание, детерминистический подход, испытание на направленный загиб, испытание на разрушение, испытание на смятие, испытание на сплющивание, испытание на ударный загиб, критические показатели, муфта, насосно-компрессорные, обсадные, прочность, разрушение, расчет крутящего момента, расчет массы, расчет удлинения, резьбовое соединение, рекомендации, стальные, статистический подход, стойкость, таблицы расчетных значений, текучесть, тело трубы, трубы, трубы для трубопроводов, физические свойства, формулы предельных значений, формулы проектных предельных значений, эксплуатационные свойства

Скачать ГОСТ Р 54918-2012 вы можете в следующих версиях:

Тип файла:
Дата добавления:
Загрузок:
Размер:
Тип файла:
PDF с изображениями
Добавлен:
23/01/2016 18:08
Скачиваний:
6
Размер файла:
11.72 Мб
  • ГОСТ Р 54918-2012, страница 1 страница 1
  • ГОСТ Р 54918-2012, страница 2 страница 2
  • ГОСТ Р 54918-2012, страница 3 страница 3
  • ГОСТ Р 54918-2012, страница 4 страница 4
  • ГОСТ Р 54918-2012, страница 5 страница 5
  • ГОСТ Р 54918-2012, страница 6 страница 6
  • ГОСТ Р 54918-2012, страница 7 страница 7
  • ГОСТ Р 54918-2012, страница 8 страница 8
  • ГОСТ Р 54918-2012, страница 9 страница 9
  • ГОСТ Р 54918-2012, страница 10 страница 10
  • ГОСТ Р 54918-2012, страница 11 страница 11
  • ГОСТ Р 54918-2012, страница 12 страница 12
  • ГОСТ Р 54918-2012, страница 13 страница 13
  • ГОСТ Р 54918-2012, страница 14 страница 14
  • ГОСТ Р 54918-2012, страница 15 страница 15
  • ГОСТ Р 54918-2012, страница 16 страница 16
  • ГОСТ Р 54918-2012, страница 17 страница 17
  • ГОСТ Р 54918-2012, страница 18 страница 18
  • ГОСТ Р 54918-2012, страница 19 страница 19
  • ГОСТ Р 54918-2012, страница 20 страница 20
  • ГОСТ Р 54918-2012, страница 21 страница 21
  • ГОСТ Р 54918-2012, страница 22 страница 22
  • ГОСТ Р 54918-2012, страница 23 страница 23
  • ГОСТ Р 54918-2012, страница 24 страница 24
  • ГОСТ Р 54918-2012, страница 25 страница 25
  • ГОСТ Р 54918-2012, страница 26 страница 26
  • ГОСТ Р 54918-2012, страница 27 страница 27
  • ГОСТ Р 54918-2012, страница 28 страница 28
  • ГОСТ Р 54918-2012, страница 29 страница 29
  • ГОСТ Р 54918-2012, страница 30 страница 30
  • ГОСТ Р 54918-2012, страница 31 страница 31
  • ГОСТ Р 54918-2012, страница 32 страница 32
  • ГОСТ Р 54918-2012, страница 33 страница 33
  • ГОСТ Р 54918-2012, страница 34 страница 34
  • ГОСТ Р 54918-2012, страница 35 страница 35
  • ГОСТ Р 54918-2012, страница 36 страница 36
  • ГОСТ Р 54918-2012, страница 37 страница 37
  • ГОСТ Р 54918-2012, страница 38 страница 38
  • ГОСТ Р 54918-2012, страница 39 страница 39
  • ГОСТ Р 54918-2012, страница 40 страница 40
  • ГОСТ Р 54918-2012, страница 41 страница 41
  • ГОСТ Р 54918-2012, страница 42 страница 42
  • ГОСТ Р 54918-2012, страница 43 страница 43
  • ГОСТ Р 54918-2012, страница 44 страница 44
  • ГОСТ Р 54918-2012, страница 45 страница 45
  • ГОСТ Р 54918-2012, страница 46 страница 46
  • ГОСТ Р 54918-2012, страница 47 страница 47
  • ГОСТ Р 54918-2012, страница 48 страница 48
  • ГОСТ Р 54918-2012, страница 49 страница 49
  • ГОСТ Р 54918-2012, страница 50 страница 50
  • ГОСТ Р 54918-2012, страница 51 страница 51
  • ГОСТ Р 54918-2012, страница 52 страница 52
  • ГОСТ Р 54918-2012, страница 53 страница 53
  • ГОСТ Р 54918-2012, страница 54 страница 54
  • ГОСТ Р 54918-2012, страница 55 страница 55
  • ГОСТ Р 54918-2012, страница 56 страница 56
  • ГОСТ Р 54918-2012, страница 57 страница 57
  • ГОСТ Р 54918-2012, страница 58 страница 58
  • ГОСТ Р 54918-2012, страница 59 страница 59
  • ГОСТ Р 54918-2012, страница 60 страница 60
  • ГОСТ Р 54918-2012, страница 61 страница 61
  • ГОСТ Р 54918-2012, страница 62 страница 62
  • ГОСТ Р 54918-2012, страница 63 страница 63
  • ГОСТ Р 54918-2012, страница 64 страница 64
  • ГОСТ Р 54918-2012, страница 65 страница 65
  • ГОСТ Р 54918-2012, страница 66 страница 66
  • ГОСТ Р 54918-2012, страница 67 страница 67
  • ГОСТ Р 54918-2012, страница 68 страница 68
  • ГОСТ Р 54918-2012, страница 69 страница 69
  • ГОСТ Р 54918-2012, страница 70 страница 70
  • ГОСТ Р 54918-2012, страница 71 страница 71
  • ГОСТ Р 54918-2012, страница 72 страница 72
  • ГОСТ Р 54918-2012, страница 73 страница 73
  • ГОСТ Р 54918-2012, страница 74 страница 74
  • ГОСТ Р 54918-2012, страница 75 страница 75
  • ГОСТ Р 54918-2012, страница 76 страница 76
  • ГОСТ Р 54918-2012, страница 77 страница 77
  • ГОСТ Р 54918-2012, страница 78 страница 78
  • ГОСТ Р 54918-2012, страница 79 страница 79
  • ГОСТ Р 54918-2012, страница 80 страница 80
  • ГОСТ Р 54918-2012, страница 81 страница 81
  • ГОСТ Р 54918-2012, страница 82 страница 82
  • ГОСТ Р 54918-2012, страница 83 страница 83
  • ГОСТ Р 54918-2012, страница 84 страница 84
  • ГОСТ Р 54918-2012, страница 85 страница 85
  • ГОСТ Р 54918-2012, страница 86 страница 86
  • ГОСТ Р 54918-2012, страница 87 страница 87
  • ГОСТ Р 54918-2012, страница 88 страница 88
  • ГОСТ Р 54918-2012, страница 89 страница 89
  • ГОСТ Р 54918-2012, страница 90 страница 90
  • ГОСТ Р 54918-2012, страница 91 страница 91
  • ГОСТ Р 54918-2012, страница 92 страница 92
  • ГОСТ Р 54918-2012, страница 93 страница 93
  • ГОСТ Р 54918-2012, страница 94 страница 94
  • ГОСТ Р 54918-2012, страница 95 страница 95
  • ГОСТ Р 54918-2012, страница 96 страница 96
  • ГОСТ Р 54918-2012, страница 97 страница 97
  • ГОСТ Р 54918-2012, страница 98 страница 98
  • ГОСТ Р 54918-2012, страница 99 страница 99
  • ГОСТ Р 54918-2012, страница 100 страница 100
  • ГОСТ Р 54918-2012, страница 101 страница 101
  • ГОСТ Р 54918-2012, страница 102 страница 102
  • ГОСТ Р 54918-2012, страница 103 страница 103
  • ГОСТ Р 54918-2012, страница 104 страница 104
  • ГОСТ Р 54918-2012, страница 105 страница 105
  • ГОСТ Р 54918-2012, страница 106 страница 106
  • ГОСТ Р 54918-2012, страница 107 страница 107
  • ГОСТ Р 54918-2012, страница 108 страница 108
  • ГОСТ Р 54918-2012, страница 109 страница 109
  • ГОСТ Р 54918-2012, страница 110 страница 110
  • ГОСТ Р 54918-2012, страница 111 страница 111
  • ГОСТ Р 54918-2012, страница 112 страница 112
  • ГОСТ Р 54918-2012, страница 113 страница 113
  • ГОСТ Р 54918-2012, страница 114 страница 114
  • ГОСТ Р 54918-2012, страница 115 страница 115
  • ГОСТ Р 54918-2012, страница 116 страница 116
  • ГОСТ Р 54918-2012, страница 117 страница 117
  • ГОСТ Р 54918-2012, страница 118 страница 118
  • ГОСТ Р 54918-2012, страница 119 страница 119
  • ГОСТ Р 54918-2012, страница 120 страница 120
  • ГОСТ Р 54918-2012, страница 121 страница 121
  • ГОСТ Р 54918-2012, страница 122 страница 122
  • ГОСТ Р 54918-2012, страница 123 страница 123
  • ГОСТ Р 54918-2012, страница 124 страница 124
  • ГОСТ Р 54918-2012, страница 125 страница 125
  • ГОСТ Р 54918-2012, страница 126 страница 126
  • ГОСТ Р 54918-2012, страница 127 страница 127
  • ГОСТ Р 54918-2012, страница 128 страница 128
  • ГОСТ Р 54918-2012, страница 129 страница 129
  • ГОСТ Р 54918-2012, страница 130 страница 130
  • ГОСТ Р 54918-2012, страница 131 страница 131
  • ГОСТ Р 54918-2012, страница 132 страница 132
  • ГОСТ Р 54918-2012, страница 133 страница 133
  • ГОСТ Р 54918-2012, страница 134 страница 134
  • ГОСТ Р 54918-2012, страница 135 страница 135
  • ГОСТ Р 54918-2012, страница 136 страница 136
  • ГОСТ Р 54918-2012, страница 137 страница 137
  • ГОСТ Р 54918-2012, страница 138 страница 138
  • ГОСТ Р 54918-2012, страница 139 страница 139
  • ГОСТ Р 54918-2012, страница 140 страница 140
  • ГОСТ Р 54918-2012, страница 141 страница 141
  • ГОСТ Р 54918-2012, страница 142 страница 142
  • ГОСТ Р 54918-2012, страница 143 страница 143
  • ГОСТ Р 54918-2012, страница 144 страница 144
  • ГОСТ Р 54918-2012, страница 145 страница 145
  • ГОСТ Р 54918-2012, страница 146 страница 146
  • ГОСТ Р 54918-2012, страница 147 страница 147
  • ГОСТ Р 54918-2012, страница 148 страница 148
  • ГОСТ Р 54918-2012, страница 149 страница 149
  • ГОСТ Р 54918-2012, страница 150 страница 150
  • ГОСТ Р 54918-2012, страница 151 страница 151
  • ГОСТ Р 54918-2012, страница 152 страница 152
  • ГОСТ Р 54918-2012, страница 153 страница 153
  • ГОСТ Р 54918-2012, страница 154 страница 154
  • ГОСТ Р 54918-2012, страница 155 страница 155
  • ГОСТ Р 54918-2012, страница 156 страница 156
  • ГОСТ Р 54918-2012, страница 157 страница 157
  • ГОСТ Р 54918-2012, страница 158 страница 158
  • ГОСТ Р 54918-2012, страница 159 страница 159
  • ГОСТ Р 54918-2012, страница 160 страница 160
  • ГОСТ Р 54918-2012, страница 161 страница 161
  • ГОСТ Р 54918-2012, страница 162 страница 162
  • ГОСТ Р 54918-2012, страница 163 страница 163
  • ГОСТ Р 54918-2012, страница 164 страница 164
  • ГОСТ Р 54918-2012, страница 165 страница 165
  • ГОСТ Р 54918-2012, страница 166 страница 166
  • ГОСТ Р 54918-2012, страница 167 страница 167
  • ГОСТ Р 54918-2012, страница 168 страница 168
  • ГОСТ Р 54918-2012, страница 169 страница 169
  • ГОСТ Р 54918-2012, страница 170 страница 170
  • ГОСТ Р 54918-2012, страница 171 страница 171
  • ГОСТ Р 54918-2012, страница 172 страница 172
  • ГОСТ Р 54918-2012, страница 173 страница 173
  • ГОСТ Р 54918-2012, страница 174 страница 174
  • ГОСТ Р 54918-2012, страница 175 страница 175
  • ГОСТ Р 54918-2012, страница 176 страница 176
  • ГОСТ Р 54918-2012, страница 177 страница 177
  • ГОСТ Р 54918-2012, страница 178 страница 178
  • ГОСТ Р 54918-2012, страница 179 страница 179
  • ГОСТ Р 54918-2012, страница 180 страница 180
  • ГОСТ Р 54918-2012, страница 181 страница 181
  • ГОСТ Р 54918-2012, страница 182 страница 182
  • ГОСТ Р 54918-2012, страница 183 страница 183
  • ГОСТ Р 54918-2012, страница 184 страница 184
  • ГОСТ Р 54918-2012, страница 185 страница 185
  • ГОСТ Р 54918-2012, страница 186 страница 186
  • ГОСТ Р 54918-2012, страница 187 страница 187
  • ГОСТ Р 54918-2012, страница 188 страница 188
  • ГОСТ Р 54918-2012, страница 189 страница 189
  • ГОСТ Р 54918-2012, страница 190 страница 190
  • ГОСТ Р 54918-2012, страница 191 страница 191
  • ГОСТ Р 54918-2012, страница 192 страница 192
  • ГОСТ Р 54918-2012, страница 193 страница 193
  • ГОСТ Р 54918-2012, страница 194 страница 194
  • ГОСТ Р 54918-2012, страница 195 страница 195
  • ГОСТ Р 54918-2012, страница 196 страница 196
  • ГОСТ Р 54918-2012, страница 197 страница 197
  • ГОСТ Р 54918-2012, страница 198 страница 198
  • ГОСТ Р 54918-2012, страница 199 страница 199
  • ГОСТ Р 54918-2012, страница 200 страница 200
  • ГОСТ Р 54918-2012, страница 201 страница 201
  • ГОСТ Р 54918-2012, страница 202 страница 202
  • ГОСТ Р 54918-2012, страница 203 страница 203
  • ГОСТ Р 54918-2012, страница 204 страница 204
  • ГОСТ Р 54918-2012, страница 205 страница 205
  • ГОСТ Р 54918-2012, страница 206 страница 206
  • ГОСТ Р 54918-2012, страница 207 страница 207
  • ГОСТ Р 54918-2012, страница 208 страница 208
  • ГОСТ Р 54918-2012, страница 209 страница 209
  • ГОСТ Р 54918-2012, страница 210 страница 210
  • ГОСТ Р 54918-2012, страница 211 страница 211
  • ГОСТ Р 54918-2012, страница 212 страница 212
  • ГОСТ Р 54918-2012, страница 213 страница 213
  • ГОСТ Р 54918-2012, страница 214 страница 214
  • ГОСТ Р 54918-2012, страница 215 страница 215
  • ГОСТ Р 54918-2012, страница 216 страница 216
  • ГОСТ Р 54918-2012, страница 217 страница 217
  • ГОСТ Р 54918-2012, страница 218 страница 218
  • ГОСТ Р 54918-2012, страница 219 страница 219
  • ГОСТ Р 54918-2012, страница 220 страница 220
  • ГОСТ Р 54918-2012, страница 221 страница 221
  • ГОСТ Р 54918-2012, страница 222 страница 222
  • ГОСТ Р 54918-2012, страница 223 страница 223
  • ГОСТ Р 54918-2012, страница 224 страница 224
  • ГОСТ Р 54918-2012, страница 225 страница 225
  • ГОСТ Р 54918-2012, страница 226 страница 226
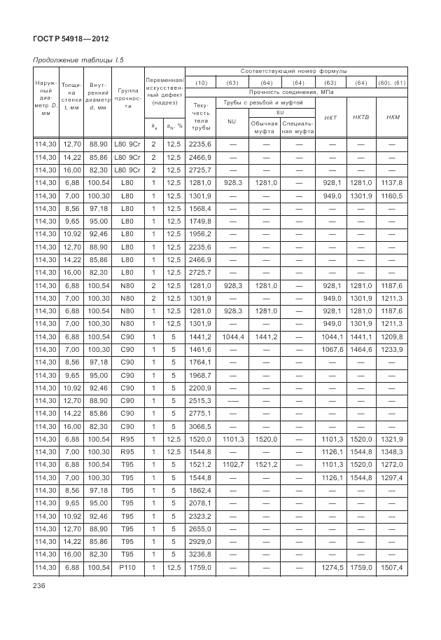
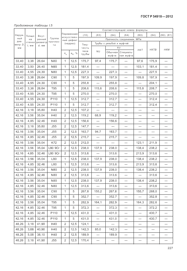
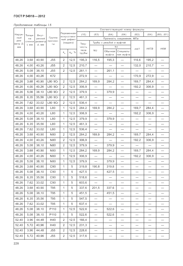
  • ГОСТ Р 54918-2012, страница 227 страница 227
  • ГОСТ Р 54918-2012, страница 228 страница 228
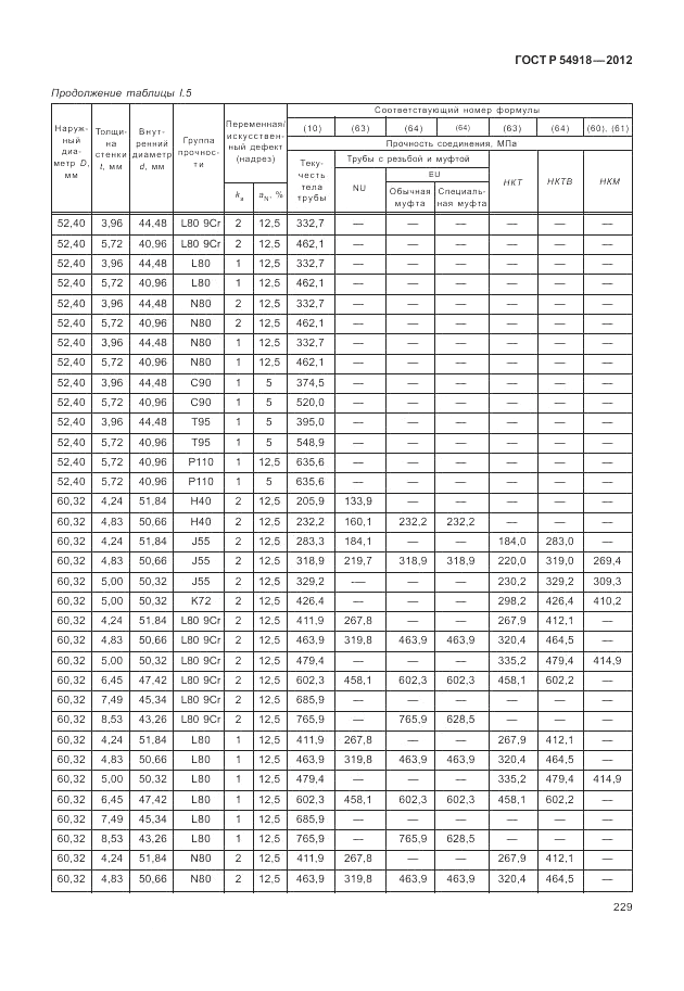
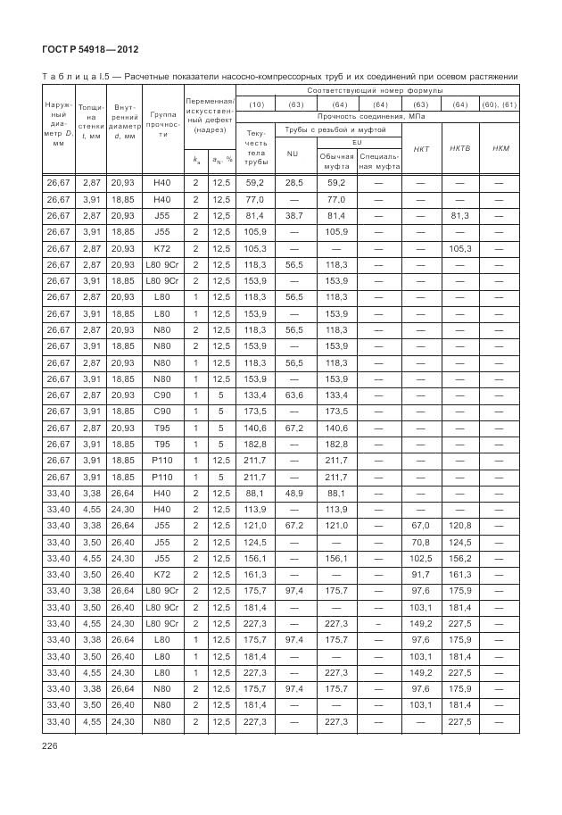
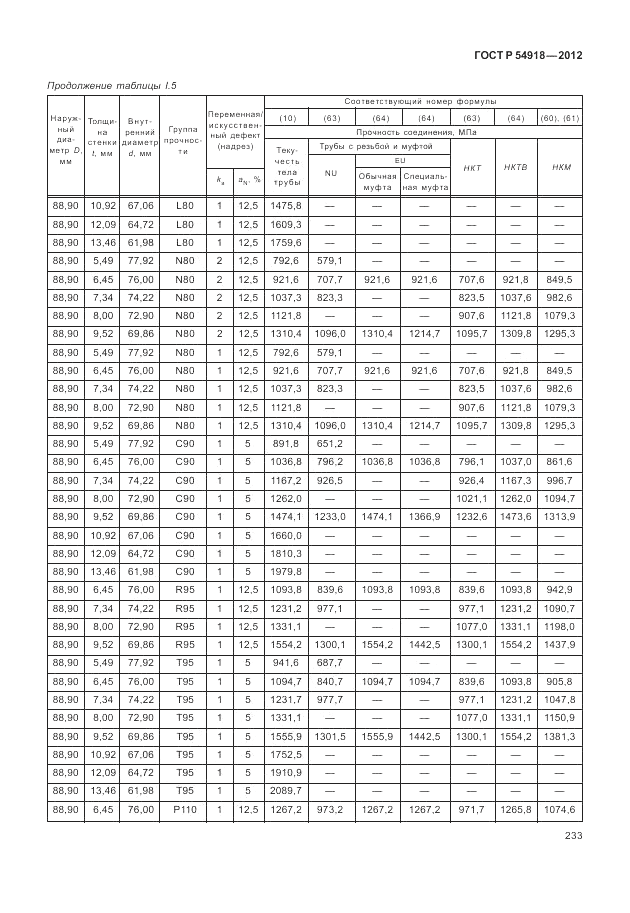
  • ГОСТ Р 54918-2012, страница 229 страница 229
  • ГОСТ Р 54918-2012, страница 230 страница 230
  • ГОСТ Р 54918-2012, страница 231 страница 231
  • ГОСТ Р 54918-2012, страница 232 страница 232
  • ГОСТ Р 54918-2012, страница 233 страница 233
  • ГОСТ Р 54918-2012, страница 234 страница 234
  • ГОСТ Р 54918-2012, страница 235 страница 235
  • ГОСТ Р 54918-2012, страница 236 страница 236
  • ГОСТ Р 54918-2012, страница 237 страница 237
  • ГОСТ Р 54918-2012, страница 238 страница 238
  • ГОСТ Р 54918-2012, страница 239 страница 239
  • ГОСТ Р 54918-2012, страница 240 страница 240
  • ГОСТ Р 54918-2012, страница 241 страница 241
  • ГОСТ Р 54918-2012, страница 242 страница 242
  • ГОСТ Р 54918-2012, страница 243 страница 243
  • ГОСТ Р 54918-2012, страница 244 страница 244
  • ГОСТ Р 54918-2012, страница 245 страница 245
  • ГОСТ Р 54918-2012, страница 246 страница 246
  • ГОСТ Р 54918-2012, страница 247 страница 247
  • ГОСТ Р 54918-2012, страница 248 страница 248
  • ГОСТ Р 54918-2012, страница 249 страница 249
  • ГОСТ Р 54918-2012, страница 250 страница 250
  • ГОСТ Р 54918-2012, страница 251 страница 251
  • ГОСТ Р 54918-2012, страница 252 страница 252
  • ГОСТ Р 54918-2012, страница 253 страница 253
  • ГОСТ Р 54918-2012, страница 254 страница 254