ГОСТ Р 54779-2011 Комбайны кукурузоуборочные. Методы испытаний

Категории ГОСТ Р 54779-2011 по ОКС:
Статус документа:
действует, введён в действие 01.03.2012
Название на английском языке:
Corn harvesting combines. Test methods
Дата актуализации информации по стандарту:
30.11.-0001, в 00:00 (более года назад)
Вид стандарта:
временно не известен
Дата начала действия ГОСТа:
2012-03-01
Дата последнего издания документа:
2012-04-25
Коды документа ГОСТ Р 54779-2011:
Код КГС:
Г99
Число страниц:
36
Назначение ГОСТ Р 54779-2011:
Настоящий стандарт распространяется на комбайны для уборки кукурузы в початках и на зерно с обмолотом початков и устанавливает методы их испытаний
Документ разработан орг-ей:
Министерство сельского хозяйства Российской Федерации
Ключевые слова документа:
виды оценок, испытания, комбайны кукурузоуборочные, методы, опыт, повторность, показатели качества, показатели условий

Скачать ГОСТ Р 54779-2011 вы можете в следующих версиях:

В данный момент версий документа для скачивания не добавлено.

Мы стараемся пополнять базу документов еженедельно и из разных источников, в обозримом будущем версии для этого ГОСТа появятся.

Вы можете просмотреть online текст стандарта ГОСТ Р 54779-2011

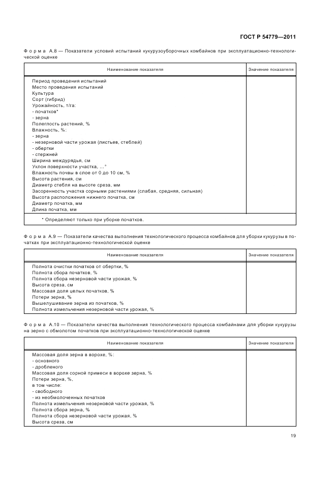
Просмотреть текст ГОСТ Р 54779-2011

Текст стандарта

  • ГОСТ Р 54779-2011, страница 1 страница 1
  • ГОСТ Р 54779-2011, страница 2 страница 2
  • ГОСТ Р 54779-2011, страница 3 страница 3
  • ГОСТ Р 54779-2011, страница 4 страница 4
  • ГОСТ Р 54779-2011, страница 5 страница 5
  • ГОСТ Р 54779-2011, страница 6 страница 6
  • ГОСТ Р 54779-2011, страница 7 страница 7
  • ГОСТ Р 54779-2011, страница 8 страница 8
  • ГОСТ Р 54779-2011, страница 9 страница 9
  • ГОСТ Р 54779-2011, страница 10 страница 10
  • ГОСТ Р 54779-2011, страница 11 страница 11
  • ГОСТ Р 54779-2011, страница 12 страница 12
  • ГОСТ Р 54779-2011, страница 13 страница 13
  • ГОСТ Р 54779-2011, страница 14 страница 14
  • ГОСТ Р 54779-2011, страница 15 страница 15
  • ГОСТ Р 54779-2011, страница 16 страница 16
  • ГОСТ Р 54779-2011, страница 17 страница 17
  • ГОСТ Р 54779-2011, страница 18 страница 18
  • ГОСТ Р 54779-2011, страница 19 страница 19
  • ГОСТ Р 54779-2011, страница 20 страница 20
  • ГОСТ Р 54779-2011, страница 21 страница 21
  • ГОСТ Р 54779-2011, страница 22 страница 22
  • ГОСТ Р 54779-2011, страница 23 страница 23
  • ГОСТ Р 54779-2011, страница 24 страница 24
  • ГОСТ Р 54779-2011, страница 25 страница 25
  • ГОСТ Р 54779-2011, страница 26 страница 26
  • ГОСТ Р 54779-2011, страница 27 страница 27
  • ГОСТ Р 54779-2011, страница 28 страница 28
  • ГОСТ Р 54779-2011, страница 29 страница 29
  • ГОСТ Р 54779-2011, страница 30 страница 30
  • ГОСТ Р 54779-2011, страница 31 страница 31
  • ГОСТ Р 54779-2011, страница 32 страница 32
  • ГОСТ Р 54779-2011, страница 33 страница 33
  • ГОСТ Р 54779-2011, страница 34 страница 34
  • ГОСТ Р 54779-2011, страница 35 страница 35
  • ГОСТ Р 54779-2011, страница 36 страница 36