ГОСТ 5307-2015
ГОСТ 5307-2015 Проволока константановая неизолированная. Технические условия
Категории ГОСТ 5307-2015 по ОКС:- Статус документа:
- действует, введён в действие 01.04.2016
- Название на английском языке:
- Constantan uninsulated wire. Specifications
- Дата актуализации информации по стандарту:
- 23.10.2025, в 10:19 (менее 3 месяцев назад)
- Вид стандарта:
- Стандарты на продукцию (услуги)
- Дата начала действия ГОСТа:
- 2016-04-01
- Дата последнего издания документа:
- 2016-02-08
- Число страниц:
- 21
- Назначение ГОСТ 5307-2015:
- Настоящий стандарт распространяется на холоднотянутую константановую неизолированную проволоку круглого сечения, применяемую для электрических целей. Проволока предназначена для работы при температуре не выше 500 °С. Стандарт устанавливает сортамент, технические требования, правила приемки, методы контроля и испытаний, упаковку, маркировку, транспортирование и хранение проволоки
- Документ разработан орг-ей:
- Федеральное агентство по техническому регулированию и метрологии (Росстандарт)
- Документ принят орг-ей:
- Межгосударственный Совет по стандартизации метрологии и сертификации, протокол №77-П
- Ключевые слова документа:
- бухта, для эмалирования, катушка, константановая проволока, механические свойства, моток, мягкая, неизолированная, растяжение, со светлой поверхностью, твердая, холоднокатаная
Нормативные ссылки, связанные с ГОСТ 5307-2015:
- Стандарт ссылается на ГОСТы:
- ГОСТ Р ИСО 2859-1-2007, ГОСТ 6689.7-92, ГОСТ 6689.16-92, ГОСТ 6689.17-92, ГОСТ 6689.18-92, ГОСТ 6689.1-92, ГОСТ 6689.19-92, ГОСТ 6689.20-92, ГОСТ 6689.21-92, ГОСТ 6689.22-92, ГОСТ 6689.2-92, ГОСТ 6689.3-92, ГОСТ 6689.4-92, ГОСТ 6689.5-92, ГОСТ 6689.6-92, ГОСТ 6689.15-92, ГОСТ 6689.8-92, ГОСТ 6689.9-92, ГОСТ 4381-87, ГОСТ 6507-90, ГОСТ 7229-76, ГОСТ 9569-2006, ГОСТ 18321-73, ГОСТ 21140-88, ГОСТ 28798-90, ГОСТ 18242-72, ГОСТ 17308-88, ГОСТ 10446-80, ГОСТ 14192-96, ГОСТ 15846-2002, ГОСТ 20435-75, ГОСТ 22225-76, ГОСТ 24597-81, ГОСТ 26663-85, ГОСТ 2991-85, ГОСТ 8273-75, ГОСТ 8828-89, ГОСТ 9078-84, ГОСТ 9347-74, ГОСТ 9421-80, ГОСТ 9570-84, ГОСТ 9557-87, ГОСТ 14019-2003, ГОСТ 24047-80, ГОСТ 24231-80, ГОСТ 25086-87, ГОСТ 3282-74, ГОСТ 3560-73, ГОСТ 492-2006, ГОСТ 6689.10-92, ГОСТ 6689.11-92, ГОСТ 6689.12-92, ГОСТ 6689.13-92, ГОСТ 6689.14-92
- Ссылки на прочие:
- СТ СЭВ 543-77
Скачать ГОСТ 5307-2015 вы можете в следующих версиях:
Тип файла:
Дата добавления:
Загрузок:
Размер:
Ссылка на скачивание:
Добавлен:
20/11/2025 15:38
Скачиваний:
0
Размер файла:
1.27 Мб
Ссылка для скачивания:
Поправки и изменения к ГОСТ 5307-2015:
-
Наименование, вид:Датарегистрации:начала действия:Ссылка:
-
Поправка к ГОСТ 5307-2015
Тип изменения: Поправка
Номер изменения:
Регистрационный номер: -
2018-11-132018-11-13
-
страница 1
-
страница 2
-
страница 3
-
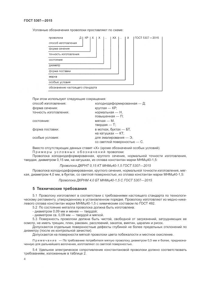
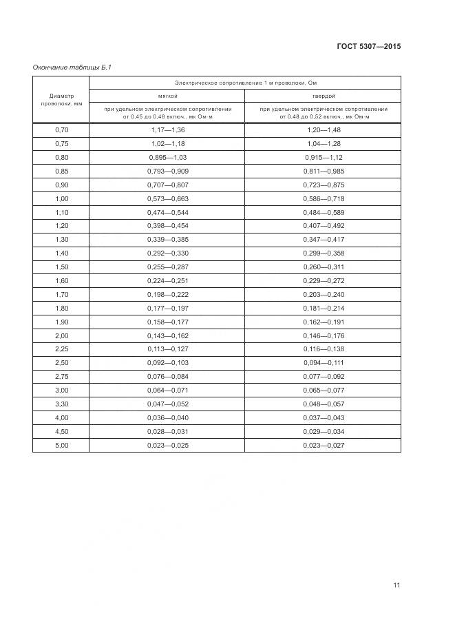
страница 4
-
страница 5
-
страница 6
-
страница 7
-
страница 8
-
страница 9
-
страница 10
-
страница 11
-
страница 12
-
страница 13
-
страница 14
-
страница 15
-
страница 16
-
страница 17
-
страница 18
-
страница 19
-
страница 20
-
страница 21