ГОСТ 5222-2016
ГОСТ 5222-2016 Проволока из кремнемарганцовой бронзы. Технические условия
Категории ГОСТ 5222-2016 по ОКС:- Статус документа:
- действует, введён в действие 01.03.2018
- Название на английском языке:
- Silicon-manganese bronze wire. Specifications
- Дата актуализации информации по стандарту:
- 29.10.2025, в 15:51 (менее 3 месяцев назад)
- Вид стандарта:
- Стандарты на продукцию (услуги)
- Дата начала действия ГОСТа:
- 2018-03-01
- Дата последнего издания документа:
- 2017-05-16
Коды документа ГОСТ 5222-2016:
- Код ОКП:
- 184690
- Число страниц:
- 16
- Назначение ГОСТ 5222-2016:
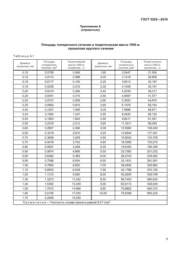
- Настоящий стандарт распространяется на проволоку круглого и квадратного сечения из кремнемарганцовой бронзы, холоднодеформированную, предназначенную для изготовления упругих элементов. Стандарт устанавливает сортамент, технические требования, правила приемки, методы контроля и испытаний, маркировку, упаковку, транспортирование и хранение проволоки
- Документ разработан орг-ей:
- Федеральное агентство по техническому регулированию и метрологии (Росстандарт)
- Документ принят орг-ей:
- Межгосударственный Совет по стандартизации метрологии и сертификации, протокол №92-П
- Ключевые слова документа:
- бухты, диаметр, катушки, круглого и квадратного сечения, механические свойства, мотки, нормальной и повышенной точности изготовления, проволока из кремнемарганцовой бронзы для изготовления упругих элементов, твердая, химический состав, холоднодеформированная
Нормативные ссылки, связанные с ГОСТ 5222-2016:
- Стандарт ссылается на ГОСТы:
- ГОСТ Р ИСО 2859-1-2007, ГОСТ 24231-80, ГОСТ 15027.4-77, ГОСТ 15027.5-77, ГОСТ 15027.6-77, ГОСТ 15027.7-77, ГОСТ 15027.8-77, ГОСТ 15027.9-77, ГОСТ 1579-93, ГОСТ 18175-78, ГОСТ 24047-80, ГОСТ 15027.3-77, ГОСТ 3282-74, ГОСТ 3560-73, ГОСТ 4381-87, ГОСТ 6507-90, ГОСТ 9569-2006, ГОСТ 18321-73, ГОСТ 18242-72, ГОСТ 32597-2013, ГОСТ 8273-75, ГОСТ 14192-96, ГОСТ 15846-2002, ГОСТ 18477-79, ГОСТ 20435-75, ГОСТ 21650-76, ГОСТ 22225-76, ГОСТ 24597-81, ГОСТ 26663-85, ГОСТ 2991-85, ГОСТ 9557-87, ГОСТ 8828-89, ГОСТ 9078-84, ГОСТ 10446-80, ГОСТ 10447-93, ГОСТ 15027.10-77, ГОСТ 15027.11-77, ГОСТ 15027.12-77, ГОСТ 15027.1-77, ГОСТ 15027.2-77
- Ссылки на прочие:
- СТ СЭВ 543-7
Скачать ГОСТ 5222-2016 вы можете в следующих версиях:
Тип файла:
Дата добавления:
Загрузок:
Размер:
Ссылка на скачивание:
Добавлен:
20/11/2025 15:08
Скачиваний:
0
Размер файла:
1.08 Мб
Ссылка для скачивания:
-
страница 1
-
страница 2
-
страница 3
-
страница 4
-
страница 5
-
страница 6
-
страница 7
-
страница 8
-
страница 9
-
страница 10
-
страница 11
-
страница 12
-
страница 13
-
страница 14
-
страница 15
-
страница 16