ГОСТ 4060-78 Подшипники роликовые игольчатые с одним наружным штампованным кольцом. Технические условия

Категории ГОСТ 4060-78 по ОКС:
Статус документа:
заменен, введён в действие 01.01.1980
Название на английском языке:
Needle roller bearings. Outer shell and roller assembly. Technical conditions
Дата актуализации информации по стандарту:
20.12.2025, в 18:33 (менее месяца назад)
Вид стандарта:
Стандарты на продукцию (услуги)
Дата начала действия ГОСТа:
1980-01-01
Срок действия ограничен:
01.11.2025
Дата последнего издания документа:
1991-08-01
Коды документа ГОСТ 4060-78:
Код ОКП:
464300
Код КГС:
Г16
Код ОКСТУ:
4643
Число страниц:
27
Назначение ГОСТ 4060-78:
Настоящий стандарт распространяется на игольчатые роликовые подшипники с одним наружным штампованным кольцом нормальной и повышенной точности
ГРНТИ индекс(ы):
550329

Скачать ГОСТ 4060-78 вы можете в следующих версиях:

Тип файла:
Дата добавления:
Загрузок:
Размер:
Тип файла:
PDF с изображениями
Добавлен:
12/12/2011 01:57
Скачиваний:
895
Размер файла:
0.81 Мб

Поправки и изменения к ГОСТ 4060-78:

  • Наименование, вид:
    Дата
    регистрации:
    начала действия:
  • Изменение №1 к ГОСТ 4060-78

    Тип изменения: Текстовое изменение
    Номер изменения: 1
    Регистрационный номер: 370

    1986-02-19
    1987-01-01
  • Изменение №2 к ГОСТ 4060-78

    Тип изменения: Текстовое изменение
    Номер изменения: 2
    Регистрационный номер: 1286

    1989-05-22
    1989-12-01
  • Изменение №3 к ГОСТ 4060-78

    Тип изменения: Текстовое изменение
    Номер изменения: 3
    Регистрационный номер: 4118
    Новое значение: -

    1988-12-15
    1989-07-01
  • ГОСТ 4060-78, страница 1 страница 1
  • ГОСТ 4060-78, страница 2 страница 2
  • ГОСТ 4060-78, страница 3 страница 3
  • ГОСТ 4060-78, страница 4 страница 4
  • ГОСТ 4060-78, страница 5 страница 5
  • ГОСТ 4060-78, страница 6 страница 6
  • ГОСТ 4060-78, страница 7 страница 7
  • ГОСТ 4060-78, страница 8 страница 8
  • ГОСТ 4060-78, страница 9 страница 9
  • ГОСТ 4060-78, страница 10 страница 10
  • ГОСТ 4060-78, страница 11 страница 11
  • ГОСТ 4060-78, страница 12 страница 12
  • ГОСТ 4060-78, страница 13 страница 13
  • ГОСТ 4060-78, страница 14 страница 14
  • ГОСТ 4060-78, страница 15 страница 15
  • ГОСТ 4060-78, страница 16 страница 16
  • ГОСТ 4060-78, страница 17 страница 17
  • ГОСТ 4060-78, страница 18 страница 18
  • ГОСТ 4060-78, страница 19 страница 19
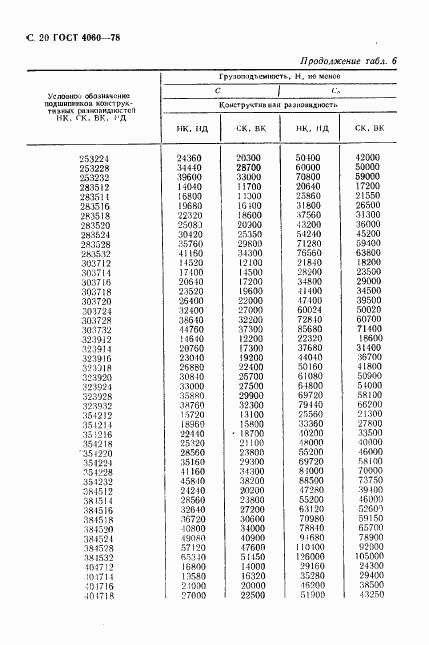
  • ГОСТ 4060-78, страница 20 страница 20
  • ГОСТ 4060-78, страница 21 страница 21
  • ГОСТ 4060-78, страница 22 страница 22
  • ГОСТ 4060-78, страница 23 страница 23
  • ГОСТ 4060-78, страница 24 страница 24
  • ГОСТ 4060-78, страница 25 страница 25
  • ГОСТ 4060-78, страница 26 страница 26
  • ГОСТ 4060-78, страница 27 страница 27