ГОСТ 3635-78 Подшипники шарнирные. Технические условия

Категории ГОСТ 3635-78 по ОКС:
Статус документа:
действует, введён в действие 01.07.1979
Название на английском языке:
Spherical plain bearings. Specifiications
Дата актуализации информации по стандарту:
24.06.2025, в 12:19 (менее полугода назад)
Вид стандарта:
Стандарты на продукцию (услуги)
Дата начала действия ГОСТа:
1979-07-01
Дата последнего издания документа:
1991-01-01
Коды документа ГОСТ 3635-78:
Код ОКП:
464900
Код КГС:
Г16
Код ОКСТУ:
4649
Число страниц:
27
Назначение ГОСТ 3635-78:
Настоящий стандарт распространяется на разъемные шарнирные подшипники, предназначенные для восприятия радиальных и комбинированных нагрузок в подвижных и неподвижных соединениях
ГРНТИ индекс(ы):
550329
Документ разработан орг-ей:
Минавтопром СССР
Нормативные ссылки, связанные с ГОСТ 3635-78:
Ссылки на прочие:
СТ СЭВ 1478-78;СТ СЭВ 6428-88

Скачать ГОСТ 3635-78 вы можете в следующих версиях:

Дата добавления:
Тип файла:
Загрузок:
Размер:
12/12/2011 01:57
PDF с изображениями
1967
0.77 Мб

Поправки и изменения к ГОСТ 3635-78:

  • Наименование, вид:
    Дата
    регистрации:
    начала действия:
  • Изменение №1 к ГОСТ 3635-78

    Тип изменения: Текстовое изменение
    Номер изменения: 1
    Регистрационный номер: 2608

    1980-06-06
    1980-07-01
  • Изменение №2 к ГОСТ 3635-78

    Тип изменения: Текстовое изменение
    Номер изменения: 2
    Регистрационный номер: 3407
    Новое значение: -

    1988-09-30
    1989-07-01
  • Изменение №3 к ГОСТ 3635-78

    Тип изменения: Текстовое изменение
    Номер изменения: 3
    Регистрационный номер: 2315
    Новое значение: -

    1989-07-04
    1990-07-01

Текст стандарта

  • ГОСТ 3635-78, страница 1 страница 1
  • ГОСТ 3635-78, страница 2 страница 2
  • ГОСТ 3635-78, страница 3 страница 3
  • ГОСТ 3635-78, страница 4 страница 4
  • ГОСТ 3635-78, страница 5 страница 5
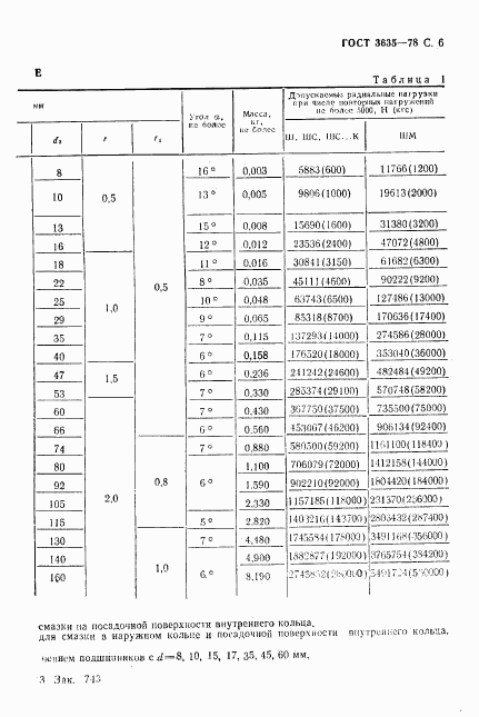
  • ГОСТ 3635-78, страница 6 страница 6
  • ГОСТ 3635-78, страница 7 страница 7
  • ГОСТ 3635-78, страница 8 страница 8
  • ГОСТ 3635-78, страница 9 страница 9
  • ГОСТ 3635-78, страница 10 страница 10
  • ГОСТ 3635-78, страница 11 страница 11
  • ГОСТ 3635-78, страница 12 страница 12
  • ГОСТ 3635-78, страница 13 страница 13
  • ГОСТ 3635-78, страница 14 страница 14
  • ГОСТ 3635-78, страница 15 страница 15
  • ГОСТ 3635-78, страница 16 страница 16
  • ГОСТ 3635-78, страница 17 страница 17
  • ГОСТ 3635-78, страница 18 страница 18
  • ГОСТ 3635-78, страница 19 страница 19
  • ГОСТ 3635-78, страница 20 страница 20
  • ГОСТ 3635-78, страница 21 страница 21
  • ГОСТ 3635-78, страница 22 страница 22
  • ГОСТ 3635-78, страница 23 страница 23
  • ГОСТ 3635-78, страница 24 страница 24
  • ГОСТ 3635-78, страница 25 страница 25
  • ГОСТ 3635-78, страница 26 страница 26
  • ГОСТ 3635-78, страница 27 страница 27