ГОСТ 33971-2016 Продукты пищевые, продовольственное сырье. Метод определения остаточного содержания метаболитов карбадокса и олаквиндокса с помощью высокоэффективной жидкостной хроматографии с масс-спектрометрическим детектором

Категории ГОСТ 33971-2016 по ОКС:
Статус документа:
действует, введён в действие 01.01.2018
Название на английском языке:
Food products, food raw materials. Method for determination of residual metabolites of carbadox and olaquindox using high-performance liquid chromatography with mass spectrometric detector
Дата актуализации информации по стандарту:
28.10.2025, в 12:48 (менее 3 месяцев назад)
Вид стандарта:
Стандарты на методы контроля
Дата начала действия ГОСТа:
2018-01-01
Дата последнего издания документа:
2016-12-20
Число страниц:
21
Назначение ГОСТ 33971-2016:
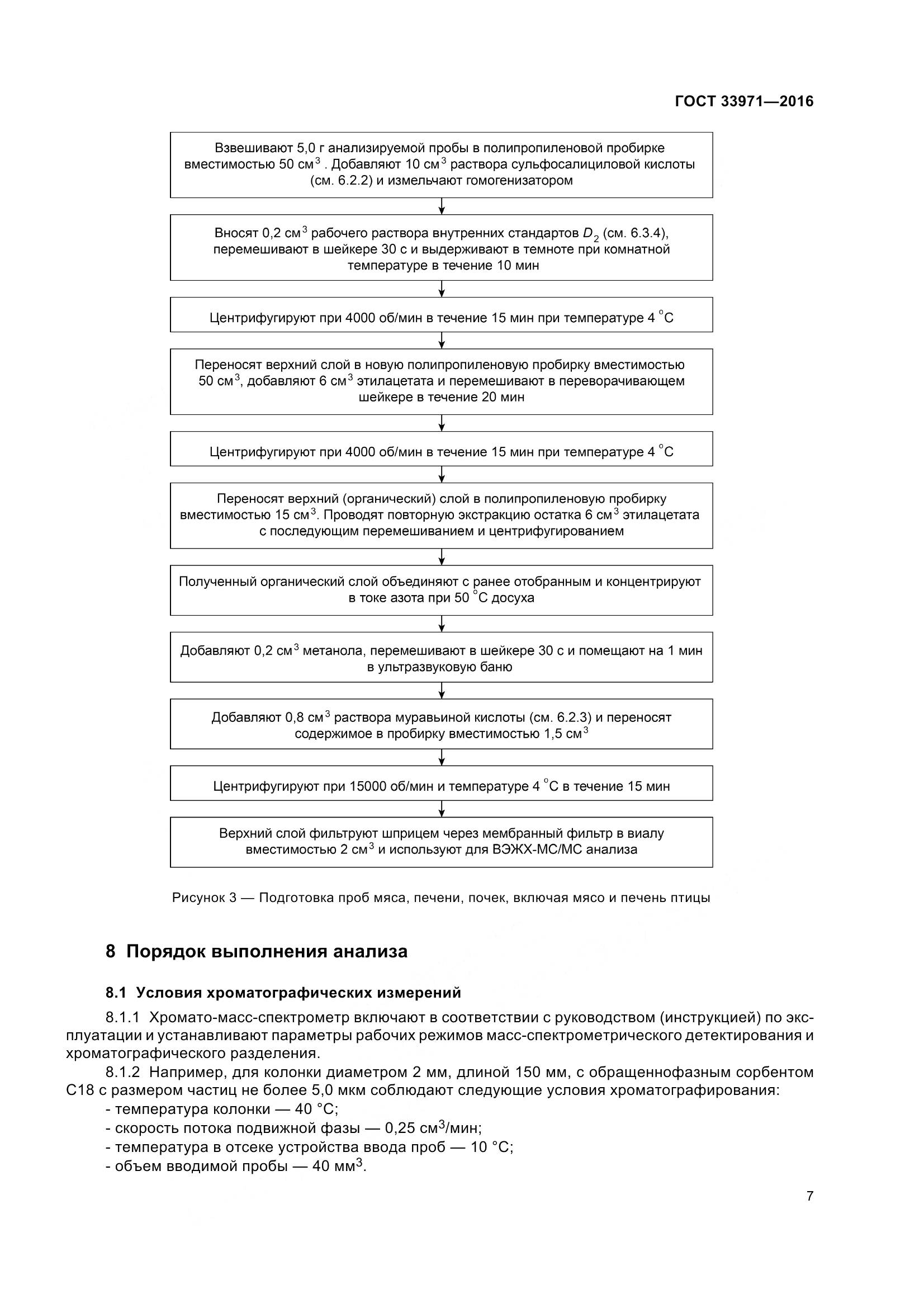
Настоящий стандарт распространяется на непереработанные пищевые продукты: мясо животных всех видов, в том числе мясо птицы, субпродукты (печень, почки) и устанавливает метод высокоэффективной жидкостной хроматографии с масс-спектрометрическим детектированием для определения остаточного содержания метаболитов карбадокса и олаквиндокса в диапазоне измерений от 0,5 до 8,0 мкг/кг
Документ разработан орг-ей:
Федеральное агентство по техническому регулированию и метрологии (Росстандарт)
Документ принят орг-ей:
Межгосударственный Совет по стандартизации метрологии и сертификации, протокол №92-П
Ключевые слова документа:
метаболиты карбадокса и олаквиндокса, метод определения содержания с помощью высокоэффективной жидкостной хроматографии с масс-спектрометрическим детектированием, остаточное содержание, пищевые продукты, продовольственное сырье

Скачать ГОСТ 33971-2016 вы можете в следующих версиях:

Тип файла:
Дата добавления:
Загрузок:
Размер:
Тип файла:
PDF с изображениями
Добавлен:
20/11/2025 15:11
Скачиваний:
17
Размер файла:
5.54 Мб
  • ГОСТ 33971-2016, страница 1 страница 1
  • ГОСТ 33971-2016, страница 2 страница 2
  • ГОСТ 33971-2016, страница 3 страница 3
  • ГОСТ 33971-2016, страница 4 страница 4
  • ГОСТ 33971-2016, страница 5 страница 5
  • ГОСТ 33971-2016, страница 6 страница 6
  • ГОСТ 33971-2016, страница 7 страница 7
  • ГОСТ 33971-2016, страница 8 страница 8
  • ГОСТ 33971-2016, страница 9 страница 9
  • ГОСТ 33971-2016, страница 10 страница 10
  • ГОСТ 33971-2016, страница 11 страница 11
  • ГОСТ 33971-2016, страница 12 страница 12
  • ГОСТ 33971-2016, страница 13 страница 13
  • ГОСТ 33971-2016, страница 14 страница 14
  • ГОСТ 33971-2016, страница 15 страница 15
  • ГОСТ 33971-2016, страница 16 страница 16
  • ГОСТ 33971-2016, страница 17 страница 17
  • ГОСТ 33971-2016, страница 18 страница 18
  • ГОСТ 33971-2016, страница 19 страница 19
  • ГОСТ 33971-2016, страница 20 страница 20
  • ГОСТ 33971-2016, страница 21 страница 21