ГОСТ 33626-2015 Топливо твердое из бытовых отходов. Методы отбора проб

Категории ГОСТ 33626-2015 по ОКС:
Статус документа:
действует, введён в действие 01.01.2017
Название на английском языке:
Solid recovered fuel. Methods for sampling
Дата актуализации информации по стандарту:
23.10.2025, в 10:50 (менее 3 месяцев назад)
Вид стандарта:
Стандарты на методы контроля
Дата начала действия ГОСТа:
2017-01-01
Дата последнего издания документа:
2016-02-08
Число страниц:
50
Назначение ГОСТ 33626-2015:
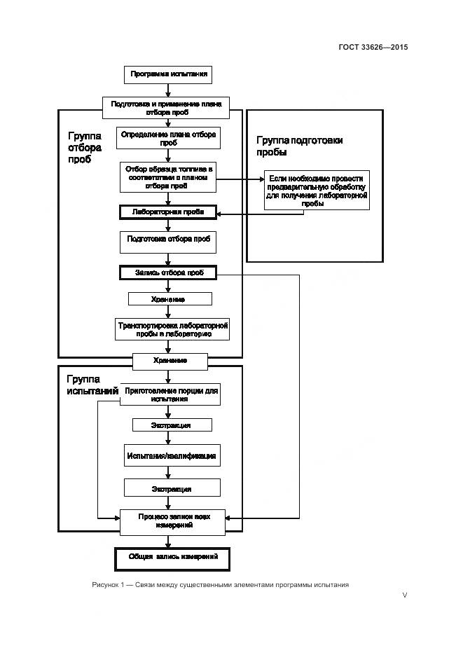
Настоящий стандарт описывает методы отбора проб топлива твердого из бытовых отходов, например, на месте производства, из поставляемых партий или из складируемых запасов. Отбор может осуществляться как ручным способом, так и механическим
Документ разработан орг-ей:
Федеральное агентство по техническому регулированию и метрологии (Росстандарт)
Документ принят орг-ей:
Межгосударственный Совет по стандартизации метрологии и сертификации, протокол №81-П
Ключевые слова документа:
методы, подготовка проб, топливо твердое из бытовых отходов

Скачать ГОСТ 33626-2015 вы можете в следующих версиях:

Тип файла:
Дата добавления:
Загрузок:
Размер:
Тип файла:
PDF с изображениями
Добавлен:
20/11/2025 15:37
Скачиваний:
26
Размер файла:
3.3 Мб
  • ГОСТ 33626-2015, страница 1 страница 1
  • ГОСТ 33626-2015, страница 2 страница 2
  • ГОСТ 33626-2015, страница 3 страница 3
  • ГОСТ 33626-2015, страница 4 страница 4
  • ГОСТ 33626-2015, страница 5 страница 5
  • ГОСТ 33626-2015, страница 6 страница 6
  • ГОСТ 33626-2015, страница 7 страница 7
  • ГОСТ 33626-2015, страница 8 страница 8
  • ГОСТ 33626-2015, страница 9 страница 9
  • ГОСТ 33626-2015, страница 10 страница 10
  • ГОСТ 33626-2015, страница 11 страница 11
  • ГОСТ 33626-2015, страница 12 страница 12
  • ГОСТ 33626-2015, страница 13 страница 13
  • ГОСТ 33626-2015, страница 14 страница 14
  • ГОСТ 33626-2015, страница 15 страница 15
  • ГОСТ 33626-2015, страница 16 страница 16
  • ГОСТ 33626-2015, страница 17 страница 17
  • ГОСТ 33626-2015, страница 18 страница 18
  • ГОСТ 33626-2015, страница 19 страница 19
  • ГОСТ 33626-2015, страница 20 страница 20
  • ГОСТ 33626-2015, страница 21 страница 21
  • ГОСТ 33626-2015, страница 22 страница 22
  • ГОСТ 33626-2015, страница 23 страница 23
  • ГОСТ 33626-2015, страница 24 страница 24
  • ГОСТ 33626-2015, страница 25 страница 25
  • ГОСТ 33626-2015, страница 26 страница 26
  • ГОСТ 33626-2015, страница 27 страница 27
  • ГОСТ 33626-2015, страница 28 страница 28
  • ГОСТ 33626-2015, страница 29 страница 29
  • ГОСТ 33626-2015, страница 30 страница 30
  • ГОСТ 33626-2015, страница 31 страница 31
  • ГОСТ 33626-2015, страница 32 страница 32
  • ГОСТ 33626-2015, страница 33 страница 33
  • ГОСТ 33626-2015, страница 34 страница 34
  • ГОСТ 33626-2015, страница 35 страница 35
  • ГОСТ 33626-2015, страница 36 страница 36
  • ГОСТ 33626-2015, страница 37 страница 37
  • ГОСТ 33626-2015, страница 38 страница 38
  • ГОСТ 33626-2015, страница 39 страница 39
  • ГОСТ 33626-2015, страница 40 страница 40
  • ГОСТ 33626-2015, страница 41 страница 41
  • ГОСТ 33626-2015, страница 42 страница 42
  • ГОСТ 33626-2015, страница 43 страница 43
  • ГОСТ 33626-2015, страница 44 страница 44
  • ГОСТ 33626-2015, страница 45 страница 45
  • ГОСТ 33626-2015, страница 46 страница 46
  • ГОСТ 33626-2015, страница 47 страница 47
  • ГОСТ 33626-2015, страница 48 страница 48
  • ГОСТ 33626-2015, страница 49 страница 49
  • ГОСТ 33626-2015, страница 50 страница 50