ГОСТ 29028-91
ГОСТ 29028-91 Постоянные резисторы для электронной аппаратуры. Часть 4. Групповые технические условия на постоянные мощные резисторы
Категории ГОСТ 29028-91 по ОКС:- Статус документа:
- действует, введён в действие 01.07.1992
- Название на английском языке:
- Fixed resistors for use in electronic equipment. Part 4. Sectional specification. Fixed power resistors
- Дата актуализации информации по стандарту:
- 15.09.2019, в 21:37 (более года назад)
- Вид стандарта:
- Стандарты на продукцию (услуги)
- Дата начала действия ГОСТа:
- 1992-07-01
- Дата последнего издания документа:
- 2004-08-01
Коды документа ГОСТ 29028-91:
- Код ОКП:
- 600000
- Код КГС:
- Э20
- Код ОКСТУ:
- 6000
- Число страниц:
- 12
- Назначение ГОСТ 29028-91:
- Настоящий стандарт распространяется на постоянные мощные резисторы с номинальной мощностью рассеяния от 1 до 1000 Вт включительно, снабженные покрытием для защиты от воздействия внешних факторов. Cтандарт применяется для разработки ТУ на резисторы, в том числе подлежащие сертификации. Стандарт подготовлен методом прямого применения международного стандарта МЭК 115-4
- ГРНТИ индекс(ы):
- 475933
- Документ разработан орг-ей:
- Минэлектронпром СССР
- Ключевые слова документа:
- внешние факторы, резисторы
Нормативные ссылки, связанные с ГОСТ 29028-91:
- ISO:
- ISO 3:1973
- IEC:
- IEC 60063(1963);IEC 60068(1988);IEC 60068-1(1988);IEC 60068-2(1974);IEC 60115-1(1982);IEC 60068(1988);IEC 60115-4-1(1983);IEC 60410(1973);IEC QC 001001;IEC QC 001002
- Стандарт ссылается на ГОСТы:
- ГОСТ 28189-89, ГОСТ 28198-89, ГОСТ 28608-90, ГОСТ 28884-90
Скачать ГОСТ 29028-91 вы можете в следующих версиях:
Тип файла:
Дата добавления:
Загрузок:
Размер:
Ссылка на скачивание:
Добавлен:
12/12/2011 02:02
Скачиваний:
139
Размер файла:
0.6 Мб
Ссылка для скачивания:
-
страница 1
-
страница 2
-
страница 3
-
страница 4
-
страница 5
-
страница 6
-
страница 7
-
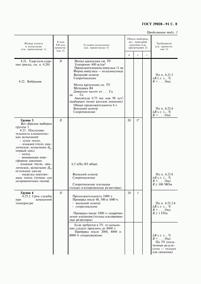
страница 8
-
страница 9
-
страница 10
-
страница 11
-
страница 12