ГОСТ 26620-85 Пакеты съемных многоместных и кассетных пресс-форм и пресс-формы одноместные для изготовления манжет гидравлических устройств. Исполнительные размеры формообразующих деталей

Категории ГОСТ 26620-85 по ОКС:
Статус документа:
действует, введён в действие 01.07.1987
Название на английском языке:
Sets of portable multi-impression and casseta press-moulds and single impression for manufacturing rubber upacking seals. Executive dimensions of formed articies
Дата актуализации информации по стандарту:
15.09.2019, в 10:29 (более года назад)
Вид стандарта:
Стандарты на продукцию (услуги)
Дата начала действия ГОСТа:
1987-07-01
Дата последнего издания документа:
1986-03-07
Коды документа ГОСТ 26620-85:
Код ОКП:
396381
Код КГС:
Г21
Код ОКСТУ:
3963
Число страниц:
59
Назначение ГОСТ 26620-85:
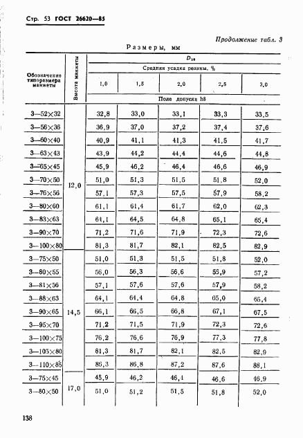
Настоящий стандарт устанавливает исполнительные размеры формообразующих деталей пакетов съемных многоместных пресс-форм по ГОСТ 26616-85, трехкассетных пресс-форм по ГОСТ 26617-85, двухкассетных пресс-форм по ГОСТ 26618-85 и одноместных пресс-форм по ГОСТ 26619-85 для изготовления уплотнительных манжет по ГОСТ 14896-84 из резины с линейной послевулканизационной усадкой от 0,8 до 3,2 %
ГРНТИ индекс(ы):
553933;552431
Ключевые слова документа:
для изготовления уплотнительных манжет, манжеты резиновые уплотнительные, машиностроение, пакеты, пресс-формы кассетные, пресс-формы одноместные, пресс-формы съемные многоместные, усадка послевулканизационная линейная

Скачать ГОСТ 26620-85 вы можете в следующих версиях:

Тип файла:
Дата добавления:
Загрузок:
Размер:
Тип файла:
PDF с изображениями
Добавлен:
12/12/2011 02:02
Скачиваний:
106
Размер файла:
1.55 Мб
Тип файла:
PDF с изображениями
Добавлен:
12/12/2011 01:57
Скачиваний:
154
Размер файла:
1.79 Мб
  • ГОСТ 26620-85, страница 1 страница 1
  • ГОСТ 26620-85, страница 2 страница 2
  • ГОСТ 26620-85, страница 3 страница 3
  • ГОСТ 26620-85, страница 4 страница 4
  • ГОСТ 26620-85, страница 5 страница 5
  • ГОСТ 26620-85, страница 6 страница 6
  • ГОСТ 26620-85, страница 7 страница 7
  • ГОСТ 26620-85, страница 8 страница 8
  • ГОСТ 26620-85, страница 9 страница 9
  • ГОСТ 26620-85, страница 10 страница 10
  • ГОСТ 26620-85, страница 11 страница 11
  • ГОСТ 26620-85, страница 12 страница 12
  • ГОСТ 26620-85, страница 13 страница 13
  • ГОСТ 26620-85, страница 14 страница 14
  • ГОСТ 26620-85, страница 15 страница 15
  • ГОСТ 26620-85, страница 16 страница 16
  • ГОСТ 26620-85, страница 17 страница 17
  • ГОСТ 26620-85, страница 18 страница 18
  • ГОСТ 26620-85, страница 19 страница 19
  • ГОСТ 26620-85, страница 20 страница 20
  • ГОСТ 26620-85, страница 21 страница 21
  • ГОСТ 26620-85, страница 22 страница 22
  • ГОСТ 26620-85, страница 23 страница 23
  • ГОСТ 26620-85, страница 24 страница 24
  • ГОСТ 26620-85, страница 25 страница 25
  • ГОСТ 26620-85, страница 26 страница 26
  • ГОСТ 26620-85, страница 27 страница 27
  • ГОСТ 26620-85, страница 28 страница 28
  • ГОСТ 26620-85, страница 29 страница 29
  • ГОСТ 26620-85, страница 30 страница 30
  • ГОСТ 26620-85, страница 31 страница 31
  • ГОСТ 26620-85, страница 32 страница 32
  • ГОСТ 26620-85, страница 33 страница 33
  • ГОСТ 26620-85, страница 34 страница 34
  • ГОСТ 26620-85, страница 35 страница 35
  • ГОСТ 26620-85, страница 36 страница 36
  • ГОСТ 26620-85, страница 37 страница 37
  • ГОСТ 26620-85, страница 38 страница 38
  • ГОСТ 26620-85, страница 39 страница 39
  • ГОСТ 26620-85, страница 40 страница 40
  • ГОСТ 26620-85, страница 41 страница 41
  • ГОСТ 26620-85, страница 42 страница 42
  • ГОСТ 26620-85, страница 43 страница 43
  • ГОСТ 26620-85, страница 44 страница 44
  • ГОСТ 26620-85, страница 45 страница 45
  • ГОСТ 26620-85, страница 46 страница 46
  • ГОСТ 26620-85, страница 47 страница 47
  • ГОСТ 26620-85, страница 48 страница 48
  • ГОСТ 26620-85, страница 49 страница 49
  • ГОСТ 26620-85, страница 50 страница 50
  • ГОСТ 26620-85, страница 51 страница 51
  • ГОСТ 26620-85, страница 52 страница 52
  • ГОСТ 26620-85, страница 53 страница 53
  • ГОСТ 26620-85, страница 54 страница 54
  • ГОСТ 26620-85, страница 55 страница 55
  • ГОСТ 26620-85, страница 56 страница 56
  • ГОСТ 26620-85, страница 57 страница 57
  • ГОСТ 26620-85, страница 58 страница 58
  • ГОСТ 26620-85, страница 59 страница 59