ГОСТ 25919-83
ГОСТ 25919-83 Штампы для листовой штамповки. Блоки штампов с промежуточной плитой с четырьмя направляющими узлами скольжения. Конструкция и размеры
Категории ГОСТ 25919-83 по ОКС:- Статус документа:
- действует, введён в действие 01.07.1984
- Название на английском языке:
- Sheet stamping dies. Die sets with intermediate plate with four guide sliding assemblies. Design and dimensions
- Дата актуализации информации по стандарту:
- 15.09.2019, в 10:11 (более года назад)
- Вид стандарта:
- Стандарты на продукцию (услуги)
- Дата начала действия ГОСТа:
- 1984-07-01
- Дата последнего издания документа:
- 1983-12-12
Коды документа ГОСТ 25919-83:
- Код ОКП:
- 396330
- Код КГС:
- Г22
- Код ОКСТУ:
- 3963
- Число страниц:
- 8
- Назначение ГОСТ 25919-83:
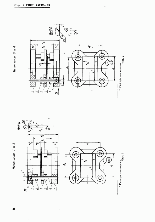
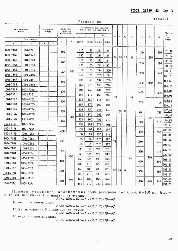
- Настоящий стандарт распространяется на блоки с промежуточной плитой с четырьмя направляющими узлами скольжения для штампов совмещенного действия и для штампов с верхним прижимом с плитами из чугунного и стального литья
- ГРНТИ индекс(ы):
- 553131;551619
- Документ разработан орг-ей:
- Министерство станкостроительной и инструментальной промышленности
- Этот ГОСТ входит в сборник:
- Штампы для листовой штамповки. Блоки с промежуточной плитой и направляющими скольжения
- Ключевые слова документа:
- блоки с промежуточной плитой, блоки с четырьмя направляющими узлами скольжения, конструкция, размеры
Нормативные ссылки, связанные с ГОСТ 25919-83:
- Стандарт ссылается на ГОСТы:
- ГОСТ 13118-83, ГОСТ 13121-83, ГОСТ 13130-83, ГОСТ 14677-83, ГОСТ 25920-83
Скачать ГОСТ 25919-83 вы можете в следующих версиях:
Тип файла:
Дата добавления:
Загрузок:
Размер:
Ссылка на скачивание:
Добавлен:
12/12/2011 02:01
Скачиваний:
118
Размер файла:
0.54 Мб
Ссылка для скачивания:
Добавлен:
12/12/2011 01:57
Скачиваний:
161
Размер файла:
0.47 Мб
Ссылка для скачивания:
-
страница 1
-
страница 2
-
страница 3
-
страница 4
-
страница 5
-
страница 6
-
страница 7
-
страница 8