ГОСТ 25852-83 Контакт-детали электрические из благородных металлов и сплавов на их основе. Технические условия

Категории ГОСТ 25852-83 по ОКС:
Статус документа:
действует, введён в действие 01.07.1984
Название на английском языке:
Electric contacts from noble metals and their alloys. Specifications
Дата актуализации информации по стандарту:
15.09.2019, в 10:09 (более года назад)
Вид стандарта:
Стандарты на продукцию (услуги)
Дата начала действия ГОСТа:
1984-07-01
Дата последнего издания документа:
1987-05-01
Коды документа ГОСТ 25852-83:
Код ОКП:
199500
Код КГС:
П04
Число страниц:
65
Назначение ГОСТ 25852-83:
Настоящий стандарт распространяется на электрические контакт-детали из благородных металлов и сплавов на их основе, изготовляемые штамповкой, холодной высадкой, вырубкой и применяемые в приборостроении, аппаратостроении, электротехнике
ГРНТИ индекс(ы):
5971
Документ разработан орг-ей:
Госкомитет СССР по стандартам

Скачать ГОСТ 25852-83 вы можете в следующих версиях:

Тип файла:
Дата добавления:
Загрузок:
Размер:
Тип файла:
PDF с изображениями
Добавлен:
12/12/2011 02:01
Скачиваний:
223
Размер файла:
1.32 Мб

Поправки и изменения к ГОСТ 25852-83:

  • Наименование, вид:
    Дата
    регистрации:
    начала действия:
  • Изменение №1 к ГОСТ 25852-83

    Тип изменения: Текстовое изменение
    Номер изменения: 1
    Регистрационный номер: 2979
    Новое значение: -

    1986-09-30
    1986-10-01
  • Изменение №2 к ГОСТ 25852-83

    Тип изменения: Текстовое изменение
    Номер изменения: 2
    Регистрационный номер: 266
    Новое значение: -

    1987-02-18
    1987-07-01
  • Изменение №3 к ГОСТ 25852-83

    Тип изменения: Текстовое изменение
    Номер изменения: 3
    Регистрационный номер: 1041
    Новое значение: -

    1991-06-26
    1992-01-01
  • Изменение №4 к ГОСТ 25852-83

    Тип изменения: Текстовое изменение; Изменены ссылочные НД
    Номер изменения: 4
    Регистрационный номер: 284-ст
    Новое значение: Заменяется: ГОСТ 6835-80 на ГОСТ 6835-2002,ГОСТ 6836-80 на ГОСТ 6836-2002,ГОСТ 14192-77 на ГОСТ 14192-96

    2005-11-10
    2006-06-01
  • ГОСТ 25852-83, страница 1 страница 1
  • ГОСТ 25852-83, страница 2 страница 2
  • ГОСТ 25852-83, страница 3 страница 3
  • ГОСТ 25852-83, страница 4 страница 4
  • ГОСТ 25852-83, страница 5 страница 5
  • ГОСТ 25852-83, страница 6 страница 6
  • ГОСТ 25852-83, страница 7 страница 7
  • ГОСТ 25852-83, страница 8 страница 8
  • ГОСТ 25852-83, страница 9 страница 9
  • ГОСТ 25852-83, страница 10 страница 10
  • ГОСТ 25852-83, страница 11 страница 11
  • ГОСТ 25852-83, страница 12 страница 12
  • ГОСТ 25852-83, страница 13 страница 13
  • ГОСТ 25852-83, страница 14 страница 14
  • ГОСТ 25852-83, страница 15 страница 15
  • ГОСТ 25852-83, страница 16 страница 16
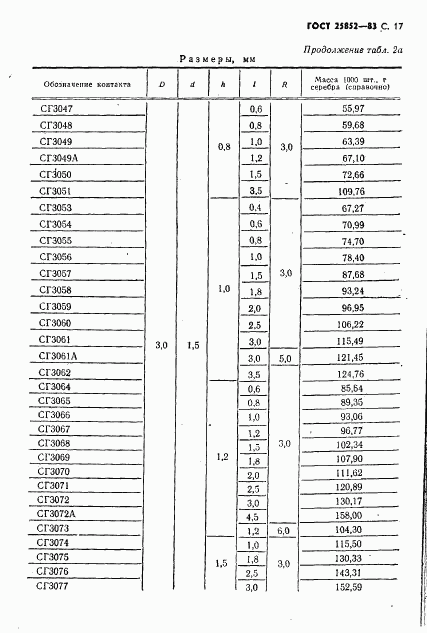
  • ГОСТ 25852-83, страница 17 страница 17
  • ГОСТ 25852-83, страница 18 страница 18
  • ГОСТ 25852-83, страница 19 страница 19
  • ГОСТ 25852-83, страница 20 страница 20
  • ГОСТ 25852-83, страница 21 страница 21
  • ГОСТ 25852-83, страница 22 страница 22
  • ГОСТ 25852-83, страница 23 страница 23
  • ГОСТ 25852-83, страница 24 страница 24
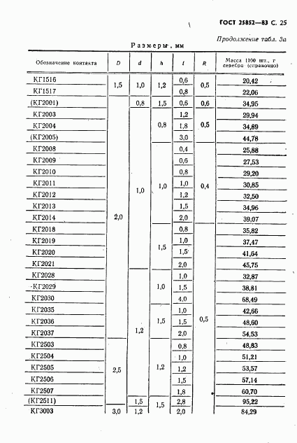
  • ГОСТ 25852-83, страница 25 страница 25
  • ГОСТ 25852-83, страница 26 страница 26
  • ГОСТ 25852-83, страница 27 страница 27
  • ГОСТ 25852-83, страница 28 страница 28
  • ГОСТ 25852-83, страница 29 страница 29
  • ГОСТ 25852-83, страница 30 страница 30
  • ГОСТ 25852-83, страница 31 страница 31
  • ГОСТ 25852-83, страница 32 страница 32
  • ГОСТ 25852-83, страница 33 страница 33
  • ГОСТ 25852-83, страница 34 страница 34
  • ГОСТ 25852-83, страница 35 страница 35
  • ГОСТ 25852-83, страница 36 страница 36
  • ГОСТ 25852-83, страница 37 страница 37
  • ГОСТ 25852-83, страница 38 страница 38
  • ГОСТ 25852-83, страница 39 страница 39
  • ГОСТ 25852-83, страница 40 страница 40
  • ГОСТ 25852-83, страница 41 страница 41
  • ГОСТ 25852-83, страница 42 страница 42
  • ГОСТ 25852-83, страница 43 страница 43
  • ГОСТ 25852-83, страница 44 страница 44
  • ГОСТ 25852-83, страница 45 страница 45
  • ГОСТ 25852-83, страница 46 страница 46
  • ГОСТ 25852-83, страница 47 страница 47
  • ГОСТ 25852-83, страница 48 страница 48
  • ГОСТ 25852-83, страница 49 страница 49
  • ГОСТ 25852-83, страница 50 страница 50
  • ГОСТ 25852-83, страница 51 страница 51
  • ГОСТ 25852-83, страница 52 страница 52
  • ГОСТ 25852-83, страница 53 страница 53
  • ГОСТ 25852-83, страница 54 страница 54
  • ГОСТ 25852-83, страница 55 страница 55
  • ГОСТ 25852-83, страница 56 страница 56
  • ГОСТ 25852-83, страница 57 страница 57
  • ГОСТ 25852-83, страница 58 страница 58
  • ГОСТ 25852-83, страница 59 страница 59
  • ГОСТ 25852-83, страница 60 страница 60
  • ГОСТ 25852-83, страница 61 страница 61
  • ГОСТ 25852-83, страница 62 страница 62
  • ГОСТ 25852-83, страница 63 страница 63
  • ГОСТ 25852-83, страница 64 страница 64
  • ГОСТ 25852-83, страница 65 страница 65