ГОСТ Р ИСО 23717-2017
ГОСТ Р ИСО 23717-2017 Проволока стальная и изделия из нее. Проволока для армирования рукавов
Категории ГОСТ Р ИСО 23717-2017 по ОКС:- 77. Металлургия
- 77.140. Продукция из чугуна и стали
- 77.140.20 Высококачественные стали *включая легированные стали, нержавеющие стали коррозионно-стойкие стали, жаропрочные стали и т. Д.
- 77.140.65 Стальная проволока, проволочные канаты и звеньевые цепи *подъемные звеньевые цепи и проволочные канаты см. 53.020.30 *стальная проволока для пружин см.77.140.25
- Статус документа:
- действует, введён в действие 01.01.2019
- Название на английском языке:
- Steel wire and wire products. Hose reinforcement wire
- Дата актуализации информации по стандарту:
- 30.10.2025, в 10:03 (менее 3 месяцев назад)
- Вид стандарта:
- временно не известен
- Дата начала действия ГОСТа:
- 2019-01-01
- Число страниц:
- 12
- Назначение ГОСТ Р ИСО 23717-2017:
- не указано
Нормативные ссылки, связанные с ГОСТ Р ИСО 23717-2017:
- Стандарт ссылается на ГОСТы:
- ГОСТ 9805–84
Скачать ГОСТ Р ИСО 23717-2017 вы можете в следующих версиях:
Тип файла:
Дата добавления:
Загрузок:
Размер:
Ссылка на скачивание:
Добавлен:
20/11/2025 14:33
Скачиваний:
14
Размер файла:
0.77 Мб
Ссылка для скачивания:
-
страница 1
-
страница 2
-
страница 3
-
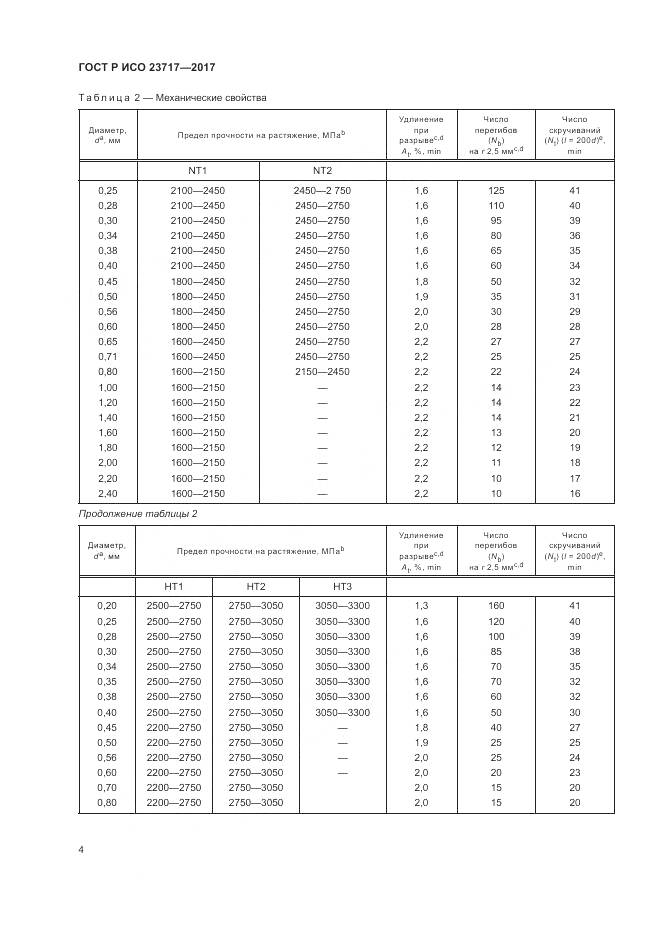
страница 4
-
страница 5
-
страница 6
-
страница 7
-
страница 8
-
страница 9
-
страница 10
-
страница 11
-
страница 12