ГОСТ 2287-88 Гребенки резьбонарезные плоские. Технические условия

Категории ГОСТ 2287-88 по ОКС:
Статус документа:
действует, введён в действие 01.01.1990
Название на английском языке:
Flat thread chasers. Specifications
Дата актуализации информации по стандарту:
23.06.2025, в 12:32 (менее полугода назад)
Вид стандарта:
Стандарты на продукцию (услуги)
Дата начала действия ГОСТа:
1990-01-01
Дата последнего издания документа:
1988-12-21
Коды документа ГОСТ 2287-88:
Код ОКП:
392519
Код КГС:
Г23
Код ОКСТУ:
3925
Число страниц:
20
Назначение ГОСТ 2287-88:
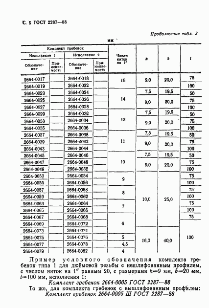
Настоящий стандарт распространяется на плоские гребенки в комплекте из 4 штук с вышлифованным профилем, предназначенные для нарезания метрической резьбы, трубной цилиндрической резьбы и дюймовой резьбы
ГРНТИ индекс(ы):
553129
Ключевые слова документа:
машиностроение, нарезание резьбы

Скачать ГОСТ 2287-88 вы можете в следующих версиях:

Тип файла:
Дата добавления:
Загрузок:
Размер:
Тип файла:
PDF с изображениями
Добавлен:
12/12/2011 01:57
Скачиваний:
347
Размер файла:
0.62 Мб
  • ГОСТ 2287-88, страница 1 страница 1
  • ГОСТ 2287-88, страница 2 страница 2
  • ГОСТ 2287-88, страница 3 страница 3
  • ГОСТ 2287-88, страница 4 страница 4
  • ГОСТ 2287-88, страница 5 страница 5
  • ГОСТ 2287-88, страница 6 страница 6
  • ГОСТ 2287-88, страница 7 страница 7
  • ГОСТ 2287-88, страница 8 страница 8
  • ГОСТ 2287-88, страница 9 страница 9
  • ГОСТ 2287-88, страница 10 страница 10
  • ГОСТ 2287-88, страница 11 страница 11
  • ГОСТ 2287-88, страница 12 страница 12
  • ГОСТ 2287-88, страница 13 страница 13
  • ГОСТ 2287-88, страница 14 страница 14
  • ГОСТ 2287-88, страница 15 страница 15
  • ГОСТ 2287-88, страница 16 страница 16
  • ГОСТ 2287-88, страница 17 страница 17
  • ГОСТ 2287-88, страница 18 страница 18
  • ГОСТ 2287-88, страница 19 страница 19
  • ГОСТ 2287-88, страница 20 страница 20