ГОСТ 22638-89
ГОСТ 22638-89 Ящики дощатые и из листовых древесных материалов для изделий электронной техники. Технические условия
Категории ГОСТ 22638-89 по ОКС:- Статус документа:
- действует, введён в действие 01.01.1991
- Название на английском языке:
- Boxes made of boards and plywood for electronic products. General specifications
- Дата актуализации информации по стандарту:
- 13.09.2019, в 16:30 (более года назад)
- Вид стандарта:
- Стандарты на продукцию (услуги)
- Дата начала действия ГОСТа:
- 1991-01-01
- Дата последнего издания документа:
- 2008-05-01
Коды документа ГОСТ 22638-89:
- Код ОКП:
- 537500
- Код КГС:
- Д71
- Код ОКСТУ:
- 5371
- Число страниц:
- 11
- Назначение ГОСТ 22638-89:
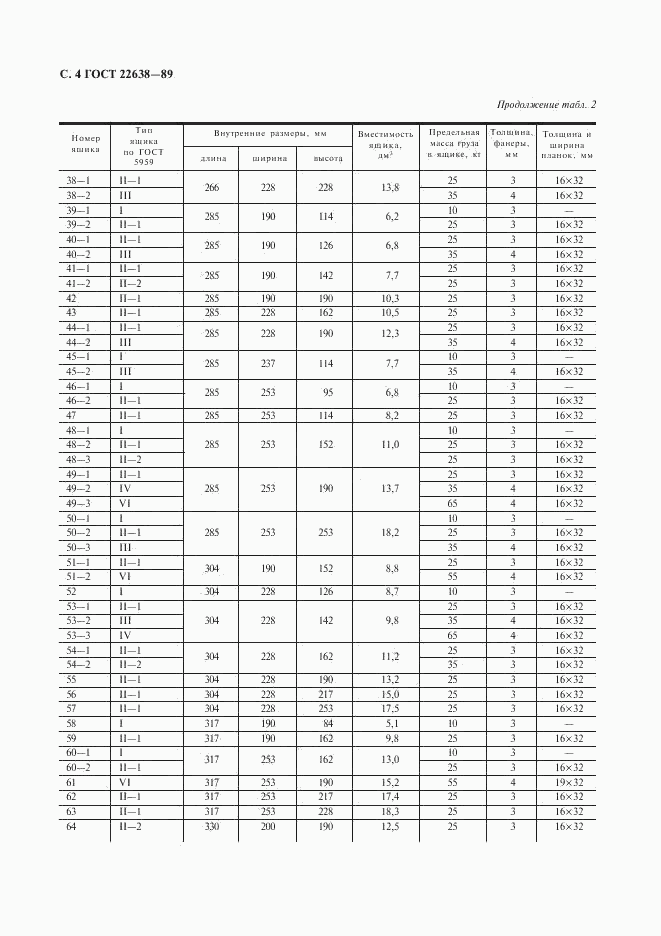
- Настоящий стандарт распространяется на ящики дощатые и из листовых древесных материалов для упаковывания, транспортирования и хранения изделий электронной техники. Ящики могут применяться для упаковывания другой продукции, если они обеспечивают сохранность этой продукции при транспортировании и хранении
- ГРНТИ индекс(ы):
- 664129
- Документ разработан орг-ей:
- Минэлектронпром СССР
- Этот ГОСТ входит в сборник:
- Тара деревянная, картонная и комбинированная. Часть 4. Ящики, бочки, барабаны
- Ключевые слова документа:
- изделия электронной техники, транспортирование и хранение изделий электронной техники, упаковка, ящики дощатые, ящики из древесных материалов
Нормативные ссылки, связанные с ГОСТ 22638-89:
- Стандарт ссылается на ГОСТы:
- ГОСТ 26838-86, ГОСТ 2991-85, ГОСТ 5959-80, ГОСТ 4598-86, ГОСТ 23088-80, ГОСТ 30668-2000
- На стандарт ссылаются:
- ГОСТ Р 52077-2003, ГОСТ Р 51913-2002, ГОСТ 23088-80, ГОСТ 31283-2004, ГОСТ 31281-2004, ГОСТ 24285-80, ГОСТ 24222-80, ГОСТ 16214-86, ГОСТ 13489-79, ГОСТ 16121-86, ГОСТ 16120-86
Скачать ГОСТ 22638-89 вы можете в следующих версиях:
Тип файла:
Дата добавления:
Загрузок:
Размер:
Ссылка на скачивание:
Добавлен:
12/12/2011 01:57
Скачиваний:
160
Размер файла:
0.29 Мб
Ссылка для скачивания:
Добавлен:
12/12/2011 02:00
Скачиваний:
181
Размер файла:
0.45 Мб
Ссылка для скачивания:
-
страница 1
-
страница 2
-
страница 3
-
страница 4
-
страница 5
-
страница 6
-
страница 7
-
страница 8
-
страница 9
-
страница 10
-
страница 11