ГОСТ 22071-76
ГОСТ 22071-76 Стойки пресс-форм для литья термопластов под давлением. Конструкция и размеры
Категории ГОСТ 22071-76 по ОКС:- Статус документа:
- действует, введён в действие 01.07.1977
- Название на английском языке:
- Struts of injection moulds. Desing and dimensions
- Дата актуализации информации по стандарту:
- 13.09.2019, в 16:20 (более года назад)
- Вид стандарта:
- Стандарты на продукцию (услуги)
- Дата начала действия ГОСТа:
- 1977-07-01
- Дата последнего издания документа:
- 1986-10-01
Коды документа ГОСТ 22071-76:
- Код ОКП:
- 396370
- Код КГС:
- Г21
- Код ОКСТУ:
- 3963
- Число страниц:
- 4
- Назначение ГОСТ 22071-76:
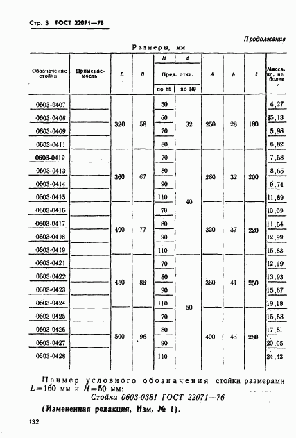
- Настоящий стандарт устанавливает конструкцию и размеры стоек
- ГРНТИ индекс(ы):
- 552931
- Этот ГОСТ входит в сборник:
- Пресс-формы для литья термопластов под давлением
Нормативные ссылки, связанные с ГОСТ 22071-76:
- Стандарт ссылается на ГОСТы:
- ГОСТ 22082-76, ГОСТ 1050-74
- На стандарт ссылаются:
- ГОСТ 22082-76, ГОСТ 22064-76, ГОСТ 22062-76
Скачать ГОСТ 22071-76 вы можете в следующих версиях:
Тип файла:
Дата добавления:
Загрузок:
Размер:
Ссылка на скачивание:
Добавлен:
12/12/2011 02:00
Скачиваний:
124
Размер файла:
0.27 Мб
Ссылка для скачивания:
Добавлен:
12/12/2011 01:57
Скачиваний:
162
Размер файла:
0.13 Мб
Ссылка для скачивания:
Поправки и изменения к ГОСТ 22071-76:
-
Наименование, вид:Датарегистрации:начала действия:Ссылка:
-
Изменение №1 к ГОСТ 22071-76
Тип изменения: Текстовое изменение
Номер изменения: 1
Регистрационный номер: 2182
1982-05-281982-10-01
-
страница 1
-
страница 2
-
страница 3
-
страница 4