ГОСТ 21007-2014
ГОСТ 21007-2014 Проволока из платины для термопребразователей сопротивления. Технические условия
Категории ГОСТ 21007-2014 по ОКС:- 77. Металлургия
- 77.150. Продукция из цветных металлов
- 77.150.99 Продукция из цветных металлов прочая
- Статус документа:
- действует, введён в действие 01.09.2015
- Название на английском языке:
- Рlatinum wire for resistive temperature transducers. Specifications
- Дата актуализации информации по стандарту:
- 22.10.2025, в 12:18 (менее 3 месяцев назад)
- Вид стандарта:
- Стандарты на продукцию (услуги)
- Дата начала действия ГОСТа:
- 2015-09-01
- Дата последнего издания документа:
- 2015-01-12
- Число страниц:
- 13
- Назначение ГОСТ 21007-2014:
- Настоящий стандарт распространяется на проволоку из платины, предназначенную для изготовления чувствительных элементов термопреобразователей сопротивления и других технических целей
- Документ разработан орг-ей:
- Федеральное агентство по техническому регулированию и метрологии (Росстандарт)
- Документ принят орг-ей:
- Межгосударственный Совет по стандартизации метрологии и сертификации, протокол №67-П
- Ключевые слова документа:
- гарантии изготовителя, масса, методы контроля, относительное сопротивление, платина, проволока, свойства, транспортирование, упаковка, хранение
Нормативные ссылки, связанные с ГОСТ 21007-2014:
- Стандарт ссылается на ГОСТы:
- ГОСТ Р 53228-2008, ГОСТ Р 52599-2006, ГОСТ Р 52519-2006, ГОСТ Р 52520-2006, ГОСТ Р 52521-2006, ГОСТ 13498-2010, ГОСТ 15150-69, ГОСТ 29329-92, ГОСТ 28798-90, ГОСТ 24104-2001, ГОСТ 10197-70, ГОСТ 9038-90, ГОСТ 4381-87, ГОСТ 22864-83, ГОСТ 12226-80, ГОСТ 8273-75, ГОСТ 14192-96
- На стандарт ссылаются:
- ГОСТ 1790-2016
Скачать ГОСТ 21007-2014 вы можете в следующих версиях:
Тип файла:
Дата добавления:
Загрузок:
Размер:
Ссылка на скачивание:
Добавлен:
20/11/2025 16:13
Скачиваний:
22
Размер файла:
2.84 Мб
Ссылка для скачивания:
-
страница 1
-
страница 2
-
страница 3
-
страница 4
-
страница 5
-
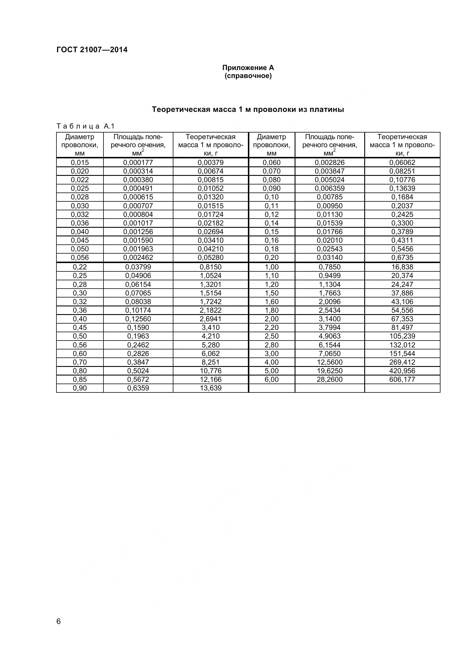
страница 6
-
страница 7
-
страница 8
-
страница 9
-
страница 10
-
страница 11
-
страница 12
-
страница 13