ГОСТ 19940-74
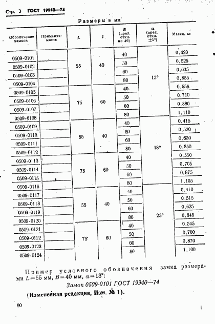
ГОСТ 19940-74 Замки для запирания ползунов пресс-форм литья под давлением. Конструкция и размеры
Категории ГОСТ 19940-74 по ОКС:- Статус документа:
- действует, введён в действие 01.07.1975
- Название на английском языке:
- Locks for slides of dies for die casting. Design and dimensions
- Дата актуализации информации по стандарту:
- 12.09.2019, в 19:11 (более года назад)
- Вид стандарта:
- Стандарты на продукцию (услуги)
- Дата начала действия ГОСТа:
- 1975-07-01
- Дата последнего издания документа:
- 1982-07-01
Коды документа ГОСТ 19940-74:
- Код ОКП:
- 396190;396397
- Код КГС:
- Г21
- Код ОКСТУ:
- 3963
- Число страниц:
- 5
- Назначение ГОСТ 19940-74:
- Настоящий стандарт распространяется на замки запирания ползунов, применяемых при литье под давлением деталей из цветных сплавов для фиксации положения ползунов
- ГРНТИ индекс(ы):
- 5515;552929
- Этот ГОСТ входит в сборник:
- Пресс-формы для литья под давлением деталей из цветных сплавов
Нормативные ссылки, связанные с ГОСТ 19940-74:
- Стандарт ссылается на ГОСТы:
- ГОСТ 19946-74, ГОСТ 1435-74
- На стандарт ссылаются:
- ГОСТ 19946-74
Скачать ГОСТ 19940-74 вы можете в следующих версиях:
Тип файла:
Дата добавления:
Загрузок:
Размер:
Ссылка на скачивание:
Добавлен:
12/12/2011 01:57
Скачиваний:
145
Размер файла:
0.15 Мб
Ссылка для скачивания:
Добавлен:
12/12/2011 02:00
Скачиваний:
149
Размер файла:
0.28 Мб
Ссылка для скачивания:
Поправки и изменения к ГОСТ 19940-74:
-
Наименование, вид:Датарегистрации:начала действия:Ссылка:
-
Изменение №1 к ГОСТ 19940-74
Тип изменения: Текстовое изменение
Номер изменения: 1
Регистрационный номер: 3468
Новое значение: -
1980-07-091981-01-01 -
Изменение №2 к ГОСТ 19940-74
Тип изменения: Текстовое изменение
Номер изменения: 2
Регистрационный номер: 803
Новое значение: -
1989-03-281990-01-01
-
страница 1
-
страница 2
-
страница 3
-
страница 4
-
страница 5