ГОСТ 19903-74
ГОСТ 19903-74 Прокат листовой горячекатаный. Сортамент
Категории ГОСТ 19903-74 по ОКС:- 77. Металлургия
- 77.140. Продукция из чугуна и стали
- 77.140.50 Стальной листовой прокат и полуфабрикаты *включая плиты, листы и полосы *стальные полосы для пружин см. 77.140.25
- Статус документа:
- заменен, введён в действие 01.01.1976
- Название на английском языке:
- Hot-rolled steel sheets. Dimensions
- Дата актуализации информации по стандарту:
- 12.09.2019, в 19:10 (более года назад)
- Вид стандарта:
- Стандарты на продукцию (услуги)
- Дата начала действия ГОСТа:
- 1976-01-01
- Срок действия ограничен:
- 01.09.2016
- Дата последнего издания документа:
- 2008-07-01
- Код ОКП:
- 090200
- Код КГС:
- В23
- Число страниц:
- 19
- Назначение ГОСТ 19903-74:
- Настоящий стандарт распространяется на листовой горячекатаный прокат шириной 500 мм и более, изготовляемый в листах толщиной от 0,40 до 160 мм и рулонах толщиной от 1,2 до 12 мм
- ГРНТИ индекс(ы):
- 534331
- Документ разработан орг-ей:
- Минчермет СССР
- Ключевые слова документа:
- прокат горячекатаный, прокат листовой, сортамент
- Стандарт ссылается на ГОСТы:
- ГОСТ 26877-91
- На стандарт ссылаются:
- ГОСТ Р 54826-2011, ГОСТ Р 52630-2012, ГОСТ Р 53681-2009, ГОСТ Р 53192-2008, ГОСТ Р 52927-2008, ГОСТ Р 52630-2006, ГОСТ Р 52910-2008, ГОСТ Р 52246-2004, ГОСТ Р 52079-2003, ГОСТ 27772-2015, ГОСТ 30245-2012, ГОСТ 33119-2014, ГОСТ 19281-2014, ГОСТ 12130-75, ГОСТ 32020-2012, ГОСТ 31447-2012, ГОСТ 26804-2012, ГОСТ 31385-2008, ГОСТ 21708-76, ГОСТ 21562-76, ГОСТ 19772-74, ГОСТ 19771-74, ГОСТ 19330-99, ГОСТ 17032-2010, ГОСТ 8283-77, ГОСТ 11354-82, ГОСТ 4621-79, ГОСТ 16523-89, ГОСТ 5037-78, ГОСТ 5521-86, ГОСТ 30249-97, ГОСТ 28186-89, ГОСТ 27579-88, ГОСТ 26804-86, ГОСТ 25878-85, ГОСТ 24617-81, ГОСТ 24587-81, ГОСТ 23682-79, ГОСТ 23121-78, ГОСТ 23119-78, ГОСТ 22390-77, ГОСТ 21668-85, ГОСТ 19804.6-83, ГОСТ 19804.5-83, ГОСТ 21.502-2007, ГОСТ 9234-74, ГОСТ 8568-77, ГОСТ 8281-80, ГОСТ 7350-77, ГОСТ 6765-75, ГОСТ 6713-91, ГОСТ 5582-75, ГОСТ 5521-93, ГОСТ 5520-79, ГОСТ 4041-71, ГОСТ 3836-83, ГОСТ 30245-2003, ГОСТ 27772-88, ГОСТ 25577-83, ГОСТ 24982-81, ГОСТ 19281-89, ГОСТ 17066-94, ГОСТ 16523-97, ГОСТ 1577-93, ГОСТ 14637-89, ГОСТ 14082-78, ГОСТ 11474-76, ГОСТ 11269-76, ГОСТ 11268-76, ГОСТ 9396-88, ГОСТ 9338-80, ГОСТ 5959-80, ГОСТ 5799-78, ГОСТ 5037-97, ГОСТ 4295-80, ГОСТ 30766-2001, ГОСТ 30765-2001, ГОСТ 2991-85, ГОСТ 2364-74, ГОСТ 2361-74, ГОСТ 21029-75, ГОСТ 20435-75, ГОСТ 18579-79, ГОСТ 17366-80, ГОСТ 16561-76, ГОСТ 15102-75, ГОСТ 14225-83, ГОСТ 13950-91, ГОСТ 12082-82, ГОСТ 11354-93, ГОСТ 11142-78, ГОСТ 19596-87, ГОСТ 12840-80, ГОСТ 30373-95, ГОСТ 25743-83, ГОСТ 23309-78, ГОСТ 9062-89, ГОСТ 30482-97, ГОСТ 21448-75, ГОСТ 18335-83, ГОСТ 16341-70, ГОСТ 16340-70, ГОСТ 16339-70, ГОСТ 16193-70, ГОСТ 8696-74, ГОСТ 20295-85, ГОСТ 16078-70, ГОСТ 15860-84, ГОСТ 13977-74, ГОСТ 10704-91, ГОСТ 3111-81, ГОСТ 24140-80, ГОСТ 3.1404-86, ГОСТ 3.1118-82, EN 349
- Ссылки на прочие:
- СТ СЭВ 1969-79;СТ СЭВ 3901-82
Скачать ГОСТ 19903-74 вы можете в следующих версиях:
Поправки и изменения к ГОСТ 19903-74:
-
Наименование, вид:Датарегистрации:начала действия:Ссылка:
-
Изменение №1 к ГОСТ 19903-74
Тип изменения: Текстовое изменение
Номер изменения: 1
Регистрационный номер: 4302
1979-11-121980-03-01 -
Изменение №2 к ГОСТ 19903-74
Тип изменения: Текстовое изменение
Номер изменения: 2
Регистрационный номер: 598
Новое значение: -
1982-09-091983-01-01 -
Изменение №3 к ГОСТ 19903-74
Тип изменения: Текстовое изменение
Номер изменения: 3
Регистрационный номер: 5239
Новое значение: -
1983-10-311985-01-01 -
Изменение №4 к ГОСТ 19903-74
Тип изменения: Текстовое изменение
Номер изменения: 4
Регистрационный номер: 598
1985-03-151985-07-01 -
Изменение №5 к ГОСТ 19903-74
Тип изменения: Текстовое изменение
Номер изменения: 5
Регистрационный номер: 1786
1986-06-251987-01-01 -
Изменение №6 к ГОСТ 19903-74
Тип изменения: Текстовое изменение
Номер изменения: 6
Регистрационный номер: 3376
Новое значение: -
1988-09-291989-07-01 -
Поправка к ГОСТ 19903-74
Тип изменения: Поправка
Номер изменения:
Регистрационный номер:
2007-07-012007-07-01
ГОСТ 19903-74
Группа В23
МЕЖГОСУДАРСТВЕННЫЙ СТАНДАРТ
ПРОКАТ ЛИСТОВОЙ ГОРЯЧЕКАТАНЫЙ
Сортамент
Hot-rolled steel sheets. Dimensions
МКС 77.140.50
ОКП 09 0200
Дата введения 1976-01-01
ИНФОРМАЦИОННЫЕ ДАННЫЕ
1. РАЗРАБОТАН И ВНЕСЕН Министерством черной металлургии СССР
РАЗРАБОТЧИКИ
И.Н.Голиков, Л.В.Меандров, И.С.Тришевский, И.С.Гринь, А.М.Мелешко, А.В.Дюбина, И.М.Козлова
2. УТВЕРЖДЕН И ВВЕДЕН В ДЕЙСТВИЕ Постановлением Государственного комитета стандартов Совета Министров СССР от 27.06.74 N 1573
3. ВЗАМЕН ГОСТ 8597-57 в части листов шириной 500 мм и более, ГОСТ 3680-57 и ГОСТ 8075-56 в части горячекатаных листов, ГОСТ 5681-57
4. Стандарт полностью соответствует СТ СЭВ 1969-79 в части конструкционного нелегированного проката и низколегированного толщиной от 1,00 до 2,80 мм в листах и рулонах и СТ СЭВ 3901-82 в части проката толщиной от 3,00 до 160 мм в листах
5. ССЫЛОЧНЫЕ НОРМАТИВНО-ТЕХНИЧЕСКИЕ ДОКУМЕНТЫ
Обозначение НТД, на который дана ссылка |
Номер пункта |
20 |
6. Ограничение срока действия снято Постановлением Госстандарта СССР от 30.10.91 N 1625
7. ИЗДАНИЕ (май 2005 г.) с Изменениями N 1, 2, 3, 4, 5, 6, утвержденными в ноябре 1979 г., сентябре 1982 г., октябре 1983 г., июле 1985 г., июне 1986 г., сентябре 1988 г. (ИУС 12-79, 12-82, 2-84, 6-85, 9-86, 1-89)
Переиздание (по состоянию на июль 2008 г.)
1. Настоящий стандарт распространяется на листовой горячекатаный прокат шириной 500 мм и более, изготовляемый в листах толщиной от 0,40 до 160 мм и рулонах толщиной от 1,2 до 12 мм.
Стандарт полностью соответствует СТ СЭВ 1969-79 в части конструкционного нелегированного проката обыкновенного качества и низколегированного толщиной от 1,00 до 2,80 мм в листах и рулонах и СТ СЭВ 3901-82 в части проката толщиной от 3,00 до 160 мм в листах.
(Измененная редакция, Изм. N 1, 2, 3, 5).
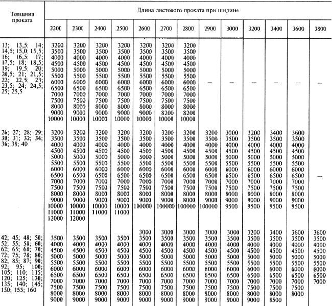
2. Размеры проката, изготовляемого в листах, должны соответствовать указанным в табл.1, в рулонах - в табл.2.
(Измененная редакция, Изм. N 5).
Таблица 1
мм

Продолжение табл.1
мм

Продолжение табл.1
мм

Примечание. По требованию потребителя листовой прокат может изготовляться других размеров, отличных от указанных в табл.1.
Таблица 2
мм
Ширина проката |
Толщина проката, поставляемого в рулонах |
500 |
1,2; 1,3; 1,4; 1,5; 1,6; 1,8; 2,0; 2,2; 2,5; 2,8; 3,0; 3,2; 3,5; 3,8, 3,9; 4,0; 4,5; 5,0; 5,3; 5,5; 6,0; 6,3; 7,0; 7,5; 8,0; 8,5; 9,0; 9,5; 10,0; 10,5; 11,0; 11,5; 12,0 |
530 |
1,2; 1,3; 1,4; 1,5; 1,6; 1,8; 2,0; 2,2; 2,5; 2,8; 3,0; 3,2; 3,5; 3,8; 3,9; 4,0; 4,5; 5,0; 5,3; 5,5; 6,0; 6,3; 7,0; 7,5; 8,0; 8,5; 9,0; 9,5; 10,0; 10,5; 11,0; 11,5; 12,0 |
550 |
1,2; 1,3; 1,4; 1,5; 1,6; 1,8; 2,0; 2,2; 2,5; 2,8; 3,0; 3,2; 3,5; 3,8; 3,9; 4,0; 4,5; 5,0; 5,3; 5,5; 6,0; 6,3; 7,0; 7,5; 8,0; 8,5; 9,0; 9,5; 10,0; 10,5; 11,5; 12,0 |
600 |
1,2; 1,3; 1,4; 1,5; 1,6; 1,8; 2,0; 2,2; 2,5; 2,8; 3,0; 3,2; 3,5; 3,8; 3,9; 4,0; 4,5; 5,0; 5,3; 5,5; 6,0; 6,3; 7,0; 7,5; 8,0; 8,5; 9,0; 9,5; 10,0; 10,5; 11,0; 11,5; 12,0 |
630 |
1,2; 1,3; 1,4; 1,5; 1,6; 1,8; 2,0; 2,2; 2,5; 2,8; 3,0; 3,2; 3,5; 3,8; 3,9; 4,0; 4,5; 5,0; 5,3; 5,5; 6,0; 6,3; 7,0; 7,5; 8,0; 8,5; 9,0; 9,5; 10,0; 10,5; 11,0; 11,5; 12,0 |
650 |
1,5; 1,6; 1,8; 2,0; 2,2; 2,5; 2,8; 3,0; 3,2; 3,5; 3,8; 3,9; 4,0; 4,5; 5,0; 5,3; 5,5; 6,0; 6,3; 7,0; 7,5; 8,0; 8,5; 9,0; 9,5; 10,0; 10,5; 11,0; 11,5; 12,0 |
670 |
1,5; 1,6; 1,8; 2,0; 2,2; 2,5; 2,8; 3,0; 3,2; 3,5; 3,8; 3,9; 4,0; 4,5; 5,0; 5,3; 5,5; 6,0; 6,3; 7,0; 7,5; 8,0; 8,5; 9,0; 9,5; 10,0; 10,5; 11,0; 11,5; 12,0 |
700 |
1,5; 1,6; 1,8; 2,0; 2,2; 2,5; 2,8; 3,0; 3,2; 3,5; 3,8; 3,9; 4,0; 4,5; 5,0; 5,3; 5,5; 6,0; 6,3; 7,0; 7,5; 8,0; 8,5; 9,0; 9,5; 10,0; 10,5; 11,0; 11,5; 12,0 |
(710) |
1,5; 1,6; 1,8; 2,0; 2,2; 2,5; 2,8; 3,0; 3,2; 3,5; 3,8; 3,9; 4,0; 4,5; 5,0; 5,3; 5,5; 6,0; 6,3; 7,0; 7,5; 8,0; 8,5; 9,0; 9,5; 10,0; 10,5; 11,0; 11,5; 12,0 |
750 |
1,5; 1,6; 1,8; 2,0; 2,2; 2,5; 2,8; 3,0; 3,2; 3,5; 3,8; 3,9; 4,0; 4,5; 5,0; 5,3; 5,5; 6,0; 6,3; 7,0; 7,5; 8,0; 8,5; 9,0; 9,5; 10,0; 10,5; 11,0; 11,5; 12,0 |
800 |
1,5; 1,6; 1,8; 2,0; 2,2; 2,5; 2,8; 3,0; 3,2; 3,5; 3,8; 3,9; 4,0; 4,5; 5,0; 5,3; 5,5; 6,0; 6,3; 7,0; 7,5; 8,0; 8,5; 9,0; 9,5; 10,0; 10,5; 11,0; 11,5; 12,0 |
850 |
1,5; 1,6; 1,8; 2,0; 2,2; 2,5; 2,8; 3,0; 3,2; 3,5; 3,8; 3,9; 4,0; 4,5; 5,0; 5,3; 5,5; 6,0; 6,3; 7,0; 7,5; 8,0; 8,5; 9,0; 9,5; 10,0; 10,5; 11,0; 11,5; 12,0 |
900 |
1,5; 1,6; 1,8; 2,0; 2,2; 2,5; 2,8; 3,0; 3,2; 3,5; 3,8; 3,9; 4,0; 4,5; 5,0; 5,3; 5,5; 6,0; 6,3; 7,0; 7,5; 8,0; 8,5; 9,0; 9,5; 10,0; 10,5; 11,0; 11,5; 12,0 |
950 |
1,5; 1,6; 1,8; 2,0; 2,2; 2,5; 2,8; 3,0; 3,2; 3,5; 3,8; 3,9; 4,0; 4,5; 5,0; 5,3; 5,5; 6,0; 6,3; 7,0; 7,5; 8,0; 8,5; 9,0; 9,5; 10,0; 10,5; 11,0; 11,5; 12,0 |
1000 |
1,2; 1,3; 1,4; 1,5; 1,6; 1,8; 2,0; 2,2; 2,5; 2,8; 3,0; 3,2; 3,5; 3,8; 3,9; 4,0; 4,5; 5,0; 5,3; 5,5; 6,0; 6,3; 7,0; 7,5; 8,0; 8,5; 9,0; 9,5; 10,0; 10,5; 11,0; 11,5; 12,0 |
1100 |
1,2; 1,3; 1,4; 1,5; 1,6; 1,8; 2,0; 2,2; 2,5; 2,8; 3,0; 3,2; 3,5; 3,8; 3,9; 4,0; 4,5; 5,0; 5,3; 5,5; 6,0; 6,3; 7,0; 7,5; 8,0; 8,5; 9,0; 9,5; 10,0; 10,5; 11,0; 11,5; 12,0 |
1250 |
1,2; 1,3; 1,4; 1,5; 1,6; 1,8; 2,0; 2,2; 2,5; 2,8; 3,0; 3,2; 3,5; 3,8; 3,9; 4,0; 4,5; 5,0; 5,3; 5,5; 6,0; 6,3; 7,0; 7,5; 8,0; 8,5; 9,0; 9,5; 10,0; 10,5; 11,0; 11,5; 12,0 |
1400 |
1,5; 1,6; 1,8; 2,0; 2,2; 2,5; 2,8; 3,0; 3,2; 3,5; 3,8; 3,9; 4,0; 4,5; 5,0; 5,3; 5,5; 6,0; 6,3; 7,0; 7,5; 8,0; 8,5; 9,0; 9,5; 10,0; 10,5; 11,0; 11,5; 12,0 |
(1420) |
1,5; 1,6; 1,8; 2,0; 2,2; 2,5; 2,8; 3,0; 3,2; 3,5; 3,8; 3,9; 4,0; 4,5; 5,0; 5,3; 5,5; 6,0; 6,3; 7,0; 7,5; 8,0; 8,5; 9,0; 9,5; 10,0; 10,5; 11,0; 11,5; 12,0 |
1500 |
1,5; 1,6; 1,8; 2,0; 2,2; 2,5; 2,8; 3,0; 3,2; 3,5; 3,8; 3,9; 4,0; 4,5; 5,0; 5,3; 5,5; 6,0; 6,3; 7,0; 7,5; 8,0; 8,5; 9,0; 9,5; 10,0; 10,5; 11,0; 11,5; 12,0 |
1600 |
3,0; 3,2; 3,5; 3,8; 3,9; 4,0; 4,5; 5,0; 5,3; 5,5; 6,0; 6,3; 7,0; 7,5; 8,0; 8,5; 9,0; 9,5; 10,0; 10,5; 11,0; 11,5; 12,0 |
1700 |
3,0; 3,2; 3,5; 3,8; 3,9; 4,0; 4,5; 5,0; 5,3; 5,5; 6,0; 6,3; 7,0; 7,5; 8,0; 8,5; 9,0; 9,5; 10,0; 10,5; 11,0; 11,5; 12,0 |
1800 |
3,0; 3,2; 3,5; 3,8; 3,9; 4,0; 4,5; 5,0; 5,3; 5,5; 6,0; 6,3; 7,0; 7,5; 8,0; 8,5; 9,0; 9,5; 10,0; 10,5; 11,0; 11,5; 12,0 |
1900 |
6,0; 6,3; 7,0; 7,5; 8,0; 8,5; 9,0; 9,5; 10,0 |
2000 |
6,0; 6,3; 7,0; 7,5; 8,0; 8,5; 9,0; 9,5; 10,0 |
2100 |
7,0; 7,5; 8,0; 8,5; 9,0; 9,5; 10,0 |
2200 |
7,0; 7,5; 8,0; 8,5; 9,0; 9,5; 10,0 |
| |
3. Листовой прокат подразделяется:
а) по точности прокатки при толщине до 12 мм:
повышенной точности - А;
нормальной точности - Б;
б) по плоскостности:
особо высокой плоскостности - ПО;
высокой плоскостности - ПВ;
улучшенной плоскостности - ПУ;
нормальной плоскостности - ПН;
в) по характеру кромки:
с необрезной кромкой - НО;
с обрезной кромкой - О;
г) по размерам:
с указанием размеров по толщине, ширине и длине в соответствии с размерами, указанными в приложении, - форма I;
с указанием размеров по толщине в пределах, указанных в табл.1, без указания размеров по ширине и длине - форма II;
с указанием размеров, кратных по ширине и длине, размерам, указанным в заказе, в пределах, установленных в табл.1, - форма III;
с указанием мерных размеров, в пределах, указанных в табл.1, с интервалами 10 мм по ширине и 50 мм по длине - форма IV. По согласованию потребителя с изготовителем интервалы по ширине и длине могут быть менее указанных.
Изготовление листового проката мерных размеров, отличающихся от размеров, указанных в приложении, производится по требованию потребителя.
(Измененная редакция, Изм. N 1, 3).
4. Предельные отклонения по толщине проката, изготовляемого в листах и рулонах, в любой точке измерения не должны превышать норм, указанных в табл.3 и 4.
Таблица 3
мм
Толщина проката (листы и рулоны) |
Предельное отклонение по толщине проката при ширине |
||||||||||||||||
от 500 |
св. 750 |
св. 1000 |
св. 1500 |
св. 2000 |
св. 2300 |
св. 2700 |
|||||||||||
|
|
Повы- |
Нор- |
Повы- |
Нор- |
Повы- |
Нор- |
Повы- |
Нор- |
Повы- |
Нор- |
Повы- |
Нор- |
Повы- |
Нор- |
|||
От |
0,40 |
до |
0,50 |
±0,05 |
±0,07 |
- |
- |
- |
- |
- |
- |
- |
- |
- |
- |
- |
- |
Св. |
0,50 |
до |
0,60 |
±0,06 |
±0,08 |
- |
- |
- |
- |
- |
- |
- |
- |
- |
- |
- |
- |
" |
0,60 |
" |
0,75 |
+0,07 |
±0,09 |
±0,07 |
±0,09 |
- |
- |
- |
- |
- |
- |
- |
- |
- |
- |
" |
0,75 |
" |
0,90 |
±0,08 |
±0,10 |
±0,08 |
±0,10 |
- |
- |
- |
- |
- |
- |
- |
- |
- |
- |
" |
0,90 |
" |
1,10 |
±0,09 |
±0,11 |
±0,09 |
±0,12 |
- |
- |
- |
- |
- |
- |
- |
- |
- |
- |
" |
1,10 |
" |
1,20 |
±0,10 |
±0,12 |
±0,11 |
±0,13 |
±0,12 |
±0,15 |
- |
- |
- |
- |
- |
- |
- |
- |
" |
1,20 |
" |
1,30 |
±0,11 |
±0,13 |
±0,12 |
±0,14 |
±0,12 |
±0,15 |
- |
- |
- |
- |
- |
- |
- |
- |
" |
1,30 |
" |
1,40 |
±0,11 |
±0,14 |
±0,12 |
±0,15 |
±0,12 |
±0,18 |
- |
- |
- |
- |
- |
- |
- |
- |
" |
1,40 |
" |
1,60 |
±0,12 |
±0,15 |
±0,13 |
±0,15 |
±0,13 |
±0,18 |
- |
- |
- |
- |
- |
- |
- |
- |
" |
1,60 |
" |
1,80 |
±0,13 |
±0,15 |
±0,14 |
±0,17 |
±0,14 |
±0,18 |
- |
- |
- |
- |
- |
- |
- |
- |
" |
1,80 |
" |
2,00 |
±0,14 |
±0,16 |
±0,15 |
±0,17 |
±0,16 |
±0,18 |
±0,17 |
±0,20 |
- |
- |
- |
- |
- |
- |
" |
2,00 |
" |
2,20 |
±0,15 |
±0,17 |
±0,16 |
±0,18 |
±0,17 |
±0,19 |
±0,18 |
±0,20 |
- |
- |
- |
- |
- |
- |
" |
2,20 |
" |
2,50 |
±0,16 |
±0,18 |
±0,17 |
±0,19 |
±0,18 |
±0,20 |
±0,19 |
±0,21 |
- |
- |
- |
- |
- |
- |
" |
2,50 |
" |
3,00 |
±0,17 |
±0,19 |
±0,18 |
±0,20 |
±0,19 |
±0,21 |
±0,20 |
±0,22 |
±0,23 |
±0,25 |
- |
- |
- |
- |
" |
3,00 |
" |
3,50 |
±0,18 |
±0,20 |
±0,19 |
±0,21 |
±0,20 |
±0,22 |
±0,22 |
±0,24 |
±0,26 |
±0,29 |
- |
- |
- |
- |
" |
3,50 |
" |
3,90 |
±0,20 |
±0,22 |
±0,21 |
±0,23 |
±0,22 |
±0,24 |
±0,24 |
±0,26 |
±0,28 |
±0,31 |
- |
- |
- |
- |
" |
3,90 |
" |
5,5 |
+0,10 |
+0,20 |
+0,15 |
+0,30 |
+0,10 |
+0,30 |
+0,20 |
+0,40 |
+0,25 |
+0,45 |
- |
- |
- |
- |
" |
5,5 |
" |
7,5 |
-0,50 |
+0,10 |
+0,10 |
+0,20 |
+0,10 |
+0,25 |
+0,20 |
+0,40 |
+0,25 |
+0,45 |
- |
- |
- |
- |
" |
7,5 |
" |
10,0 |
-0,80 |
+0,10 |
+0,10 |
+0,20 |
+0,20 |
+0,30 |
+0,20 |
+0,35 |
+0,25 |
+0,45 |
- |
+0,60 |
- |
- |
" |
10,0 |
" |
12,0 |
-0,80 |
+0,20 |
+0,10 |
+0,20 |
+0,20 |
+0,30 |
+0,30 |
+0,40 |
+0,35 |
+0,50 |
- |
+0,70 |
- |
+1,00 |
|
Примечания: | |||||||||||||||||
|
1. По требованию предприятий Министерства авиационной промышленности допускается изготовление листового проката с минусовыми допусками, равными по величине сумме предельных отклонений. | |||||||||||||||||
|
2. По согласованию изготовителя с потребителем листовой и рулонный прокат изготовляют с предельными отклонениями по толщине: | |||||||||||||||||
|
±0,14 мм - для проката толщиной св. 1,10 до 1,20 мм, шириной св. 1000 до 1500 мм нормальной точности прокатки; | |||||||||||||||||
|
±0,16 мм - для проката толщиной св. 1,30 до 1,40 мм, шириной св. 1000 до 1500 мм нормальной точности прокатки; | |||||||||||||||||
|
±0,12 мм - для проката толщиной св. 1,40 до 1,60 мм, шириной св. 750 до 1000 мм, повышенной точности прокатки; | |||||||||||||||||
|
±0,16 мм " " " " " шириной св. 1000 до 1500 мм, нормальной точности прокатки; | |||||||||||||||||
|
±0,16 мм - для проката толщиной св. 1,60 до 1,80 мм, шириной св. 750 до 1000 мм, нормальной точности прокатки; | |||||||||||||||||
|
±0,17 мм " " " " " шириной св. 1000 до 1500 мм, нормальной точности прокатки; | |||||||||||||||||
|
±0,15 мм - для проката толщиной св. 2,00 до 2,20 мм, шириной св. 750 до 1000 мм, повышенной точности прокатки; | |||||||||||||||||
|
±0,17 мм " " " " " " " " нормальной точности прокатки; | |||||||||||||||||
|
±0,16 мм - для проката толщиной св. 2,20 до 2,50 мм, шириной св. 750 до 1000 мм, повышенной точности прокатки; | |||||||||||||||||
|
±0,18 мм " " " " " " " " нормальной точности прокатки; | |||||||||||||||||
|
±0,17 мм - для проката толщиной св. 2,50 до 3,00 мм, шириной св. 750 до 1000 мм, повышенной точности прокатки; | |||||||||||||||||
±0,19 мм " " " " " " " " нормальной точности прокатки. | |||||||||||||||||
Таблица 4
мм
Толщина |
Предельное отклонение по толщине проката при ширине |
||||||||||||||||
|
|
Св. 1000 до 1200 |
Св. 1200 до 1500 |
Св. 1500 до 1700 |
Св. 1700 до 1800 |
Св. 1800 до 2000 |
Св. 2000 до 2300 |
Св. 2300 до 2500 |
Св. 2500 до 2600 |
Св. 2600 до 2800 |
Св. 2800 до 3000 |
Св. 3000 до 3200 |
Св. 3200 до 3400 |
Св. 3400 до 3600 |
Св. 3600 до 3800 |
|||
Св. |
12,5 |
до |
25,0 |
+0,2 |
+0,2 |
+0,3 |
+0,4 |
+0,6 |
+0,8 |
+0,8 |
+1,0 |
+1,1 |
+1,2 |
+1,3 |
+1,4 |
- |
- |
" |
25,0 |
" |
30,0 |
+0,2 |
+0,2 |
+0,3 |
+0,4 |
+0,6 |
+0,8 |
+0,9 |
+1,0 |
+1,1 |
+1,2 |
+1,3 |
+1,4 |
+1,5 |
+1,6 |
" |
30,0 |
" |
34,0 |
+0,2 |
+0,3 -1,0 |
+0,3 -1,0 |
+0,4 -1,0 |
+0,5 -1,0 |
+0,8 -1,0 |
+0,9 -1,0 |
+1,0 -1,0 |
+1,2 -1,0 |
+1,3 -1,0 |
+1,4 -1,0 |
+1,5 -1,0 |
+1,6 -1,0 |
+1,7 -1,0 |
" |
34,0 |
" |
40,0 |
+0,3 |
+0,4 |
+0,5 |
+0,6 |
+0,7 |
+0,9 |
+1,0 |
±1,1 |
+1,3 |
+1,4 |
+1,5 |
+1,6 |
+1,7 |
+1,8 |
" |
40,0 |
" |
50,0 |
+0,4 |
+0,5 |
+0,6 |
+0,7 |
+0,8 |
+1,0 |
+1,1 |
±1,2 |
+1,4 |
+1,5 |
+1,6 |
+1,7 |
+1,8 |
+1,9 |
" |
50,0 |
" |
60,0 |
+0,6 -1,3 |
+0,6 -1,3 |
+0,7 -1,3 |
+0,8 -1,3 |
+0,9 -1,3 |
+1,0 -1,3 |
+1,1 -1,3 |
+1,2 -1,3 |
+1,4 -1,3 |
+1,5 -1,3 |
+1,6 -1,3 |
+1,7 -1,3 |
+1,8 -1,3 |
+1,9 -1,3 |
" |
60,0 |
" |
70,0 |
- |
+0,7 -1,6 |
+0,8 -1,6 |
+0,9 -1,6 |
+1,0 -1,6 |
+1,1 |
+1,2 -1,6 |
+1,3 -1,6 |
+1,4 -1,6 |
+1,5 -1,6 |
±1,6 |
+1,7 -1,6 |
+1,8 -1,6 |
+1,9 -1,6 |
" |
70,0 |
" |
80,0 |
- |
+0,7 -2,2 |
+0,8 -2,2 |
+0,9 -2,2 |
+1,0 -2,2 |
+1,1 -2,2 |
+1,2 |
+1,3 -2,2 |
+1,4 -2,2 |
+1,5 -2,2 |
+1,6 -2,2 |
+1,7 -2,2 |
+1,8 -2,2 |
+1,9 -2,2 |
" |
80,0 |
" |
90,0 |
- |
+0,8 -2,5 |
+0,9 -2,5 |
+1,0 -2,5 |
+1,1 -2,5 |
+1,2 -2,5 |
+1,3 -2,5 |
+1,4 -2,5 |
+1,5 -2,5 |
+1,6 -2,5 |
+1,7 -2,5 |
+1,8 -2,5 |
+1,9 -2,5 |
+2,0 -2,5 |
" |
90,0 |
" |
100,0 |
- |
+0,9 -2,7 |
+1,0 -2,7 |
+1,1 -2,7 |
+1,2 -2,7 |
+1,3 -2,7 |
+1,4 -2,7 |
+1,5 -2,7 |
+1,6 |
+1,7 -2,7 |
+1,8 -2,7 |
+1,9 -2,7 |
+2,0 -2,7 |
+2,1 -2,7 |
" |
100,0 |
" |
115,0 |
- |
+1,1 -3,1 |
+1,2 -3,1 |
+1,3 -3,1 |
+1,4 -3,1 |
+1,5 -3,1 |
+1,6 -3,1 |
+1,7 -3,1 |
+1,8 -3,1 |
+1,9 -3,1 |
+2,0 -3,1 |
+2,1 -3,1 |
+2,2 -3,1 |
+2,3 -3,1 |
" |
115,0 |
" |
125,0 |
- |
+1,4 -3,5 |
+1,5 -3,5 |
+1,6 -3,5 |
+1,7 -3,5 |
+1,8 -3,5 |
+1,9 -3,5 |
+2,0 -3,5 |
+2,1 -3,5 |
+2,2 -3,5 |
+2,3 -3,5 |
+2,4 -3,5 |
+2,5 -3,5 |
+2,6 -3,5 |
" |
125,0 |
" |
140,0 |
- |
+1,6 |
+1,7 |
+1,8 |
+1,9 |
+2,0 |
+2,1 |
+2,2 |
+2,3 |
+2,4 |
+2,5 |
+2,6 |
+2,8 |
+2,9 |
" |
140,0 |
" |
160,0 |
- |
+1,9 -4,2 |
+2,0 -4,2 |
+2,1 -4,2 |
+2,2 -4,2 |
+2,3 -4,2 |
+2,4 -4,2 |
+2,5 -4,2 |
+2,6 -4,2 |
+2,7 |
+2,8 -4,2 |
+2,9 -4,2 |
+3,0 -4,2 |
+3,1 -4,2 |
| |||||||||||||||||
5. По требованию потребителя разнотолщинность проката, изготовляемого в рулонах, в одном поперечном сечении не должна превышать половины суммы предельных отклонений по толщине.
6. Предельные отклонения по ширине проката с обрезной кромкой, изготовляемого в рулонах, не должны превышать:
+5 мм - при ширине от 500 до 1000 мм включ.;
+10 мм - при ширине св. 1000 мм.
7. Предельные отклонения по ширине проката с обрезной кромкой, изготовляемого в листах, не должны превышать норм, указанных в табл.5.
Таблица 5
мм
Ширина проката |
Толщина проката |
Предельное отклонение по ширине проката |
До 800 |
До 3,9 |
+6 |
Св. 800 |
+10 |
|
До 1500 |
Св. 3,9 до 16 |
+10 |
Св. 1500 |
+15 |
|
Все ширины |
Св. 16 до 60 |
+25 |
св. 60 до 100 |
+50 |
|
св. 100 до 160 |
+75 |
|
| ||
По согласованию изготовителя с потребителем предельные отклонения по ширине проката с обрезной кромкой, изготовляемого в листах, не должны превышать:
+5 мм - при ширине до 1000 мм включ.;
+10 мм - при ширине стали св. 1000 мм.
(Измененная редакция, Изм. N 1, 2, 3).
8. Предельные отклонения по ширине листового проката, прокатанного полистно и изготовляемого с необрезной кромкой, не должны превышать более чем на 50 мм предельных отклонений по ширине, указанных в табл.5.
По согласованию потребителя с изготовителем допускаются другие предельные отклонения, обеспечивающие получение потребителем листов с размерами, указанными в заказе.
(Измененная редакция, Изм. N 1).
9. Предельные отклонения по ширине проката, прокатанного на непрерывных станах и изготовляемого с необрезной кромкой, не должны превышать:
+20 мм - при ширине до 1000 мм;
+30 мм - при ширине свыше 1000 мм.
10. Предельные отклонения по длине проката, прокатанного полистно, не должны превышать норм, указанных в табл.6.
Таблица 6
мм
Длина проката |
Толщина проката |
Предельное отклонение по длине проката |
До 1500 |
До 3,9 |
+10 |
Св. 1500 |
+15 |
|
До 2000 |
Св. 3,9 до 16 |
+10 |
Св. 2000 до 6000 |
+25 |
|
" 6000 |
+35 |
|
До 3000 |
Св. 16 до 60 |
+15 |
Св. 3000 до 6000 |
+25 |
|
" 6000 |
+40 |
|
Все длины |
Св. 60 до 100 |
+50 |
" 100 " 160 |
+75 |
(Измененная редакция, Изм. N 1).
11. Предельные отклонения по длине проката, прокатанного на непрерывных станах и порезанного на листы, не должны превышать норм, указанных в табл.7.
Таблица 7
мм
Длина проката |
Толщина проката |
Предельное отклонение по длине проката |
До 1500 |
До 3,9 |
+15 |
Св. 1500 |
+20 |
|
До 4000 |
Св. 3,9 |
+20 |
Св. 4000 |
+25 |
(Измененная редакция, Изм. N 3).
12. Отклонения от плоскостности на 1 м длины проката, изготовляемого в листах, не должны превышать норм, указанных в табл.8.
Таблица 8
мм
Вид плоскостности |
Отклонение от плоскостности при толщине проката, мм, не более |
||
0,4-1,4 |
1,5-3,9 |
4,0 и более |
|
Особо высокая |
8 |
8 |
5 |
Высокая |
10 |
10 |
8 |
Улучшенная |
15 |
12 |
10 |
Нормальная |
20 |
15 |
12 |
Примечания:
1. Отклонения от плоскостности, приведенные в табл.8, распространяются на листы из проката с
70 кгс/мм
, для листов из проката с
>70 кгс/мм
нормы устанавливаются в стандартах на общие технические требования или в технических условиях.
2. Листовой прокат с особо высокой плоскостностью изготовляется по согласованию потребителя с изготовителем.
(Измененная редакция, Изм. N 1).
13. Серповидность проката, изготовляемого в рулонах, не должна превышать 10 мм на длине 3 м.
По согласованию изготовителя с потребителем серповидность проката, изготовляемого в листах, не должна превышать 2 мм на 1 м длины.
По согласованию потребителя с изготовителем может устанавливаться другая предельная величина серповидности.
(Измененная редакция, Изм. N 6).
14. Резка листов должна проводиться под прямым углом. Косина реза и серповидность не должны выводить листы за номинальные размеры по ширине и длине.
(Измененная редакция, Изм. N 1).
15. При изготовлении проката в листах и рулонах с необрезной кромкой надрывы и другие дефекты (если они имеются на кромках) не должны превышать половины предельных отклонений по ширине и выводить листы за номинальный размер по ширине, указанной в заказе.
16. Прокат, изготовляемый в рулонах, не должен иметь скрученных и смятых концов. Допускаются в отдельных местах загнутые кромки под углом не более 90°.
17. Телескопичность проката, изготовляемого в рулонах, не должна превышать норм, указанных в табл.9.
Таблица 9
мм
Толщина проката |
Ширина проката |
Телескопичность рулонов |
До 2,5 |
До 800 |
50 |
Св. 800 |
100 |
|
Св. 2,5 |
До 800 |
35 |
Св. 800 |
70 |
Примечание. По согласованию изготовителя с потребителем телескопичность проката в рулонах толщиной до 2,5 мм, шириной св. 800 мм не должна превышать 70 мм.
Превышение одного внутреннего или одного наружного витка над поверхностью торца рулона не является телескопичностью.
Допускается неплотное прилегание двух наружных витков рулона.
(Измененная редакция, Изм. N 2, 3).
18. Измерение толщины проката проводят:
а) на листах - на расстоянии не менее 100 мм от торцов и не менее 40 мм от кромок;
б) на рулонах - на расстоянии не менее 40 мм от кромок и не менее 2 м от конца рулона.
(Измененная редакция, Изм. N 1).
19. Ширина проката, изготовляемого в рулонах, измеряется на расстоянии не менее 2 м от конца рулона.
Концы неполной ширины по длине не должны превышать ширины рулона.
По требованию потребителя концы неполной ширины должны быть обрезаны.
20. Методы измерения отклонений формы - по ГОСТ 26877-2008*.
________________
* На территории Российской Федерации документ не действует. Действует ГОСТ 26877-2008. - Примечание изготовителя базы данных.
(Измененная редакция, Изм. N 1, 6).
21. Прокат в рулонах может состоять не более чем из двух кусков (отдельных или соединенных сварным швом).
Отношение длин кусков в одном рулоне не должно быть менее 1:5. По согласованию потребителя с изготовителем допускаются рулоны с большим количеством кусков или сварных швов.
22. Внутренний диаметр рулона должен быть не менее 650 мм и не более 1000 мм.
23. Максимальная масса каждого рулона не должна превышать 20 т. По согласованию потребителя с изготовителем допускаются рулоны другой массы.
21-23. (Измененная редакция, Изм. N 1).
ПРИЛОЖЕНИЕ
Справочное
ТАБЛИЦА ОПРЕДЕЛЕННЫХ СКЛАДСКИХ РАЗМЕРОВ ЛИСТОВ
мм

Продолжение
мм

Продолжение
мм

Продолжение
мм

Продолжение
мм

Продолжение
мм

Продолжение
мм

Продолжение
мм

Продолжение
мм

Продолжение
мм

Примечание. При поставке листов по форме N 1 допускается наличие не более трех других размеров, выбранных из данной таблицы, в количестве не более 20% от партии, кровельного и оцинкованного проката не более 10% от партии.
(Измененная редакция, Изм. N 1).
сверен по:
официальное издание
М.: Стандартинформ, 2008
Электронный текст документа подготовлен информационным порталом GostExpert.ru 2014 г.
Online версия ГОСТ 19903-74