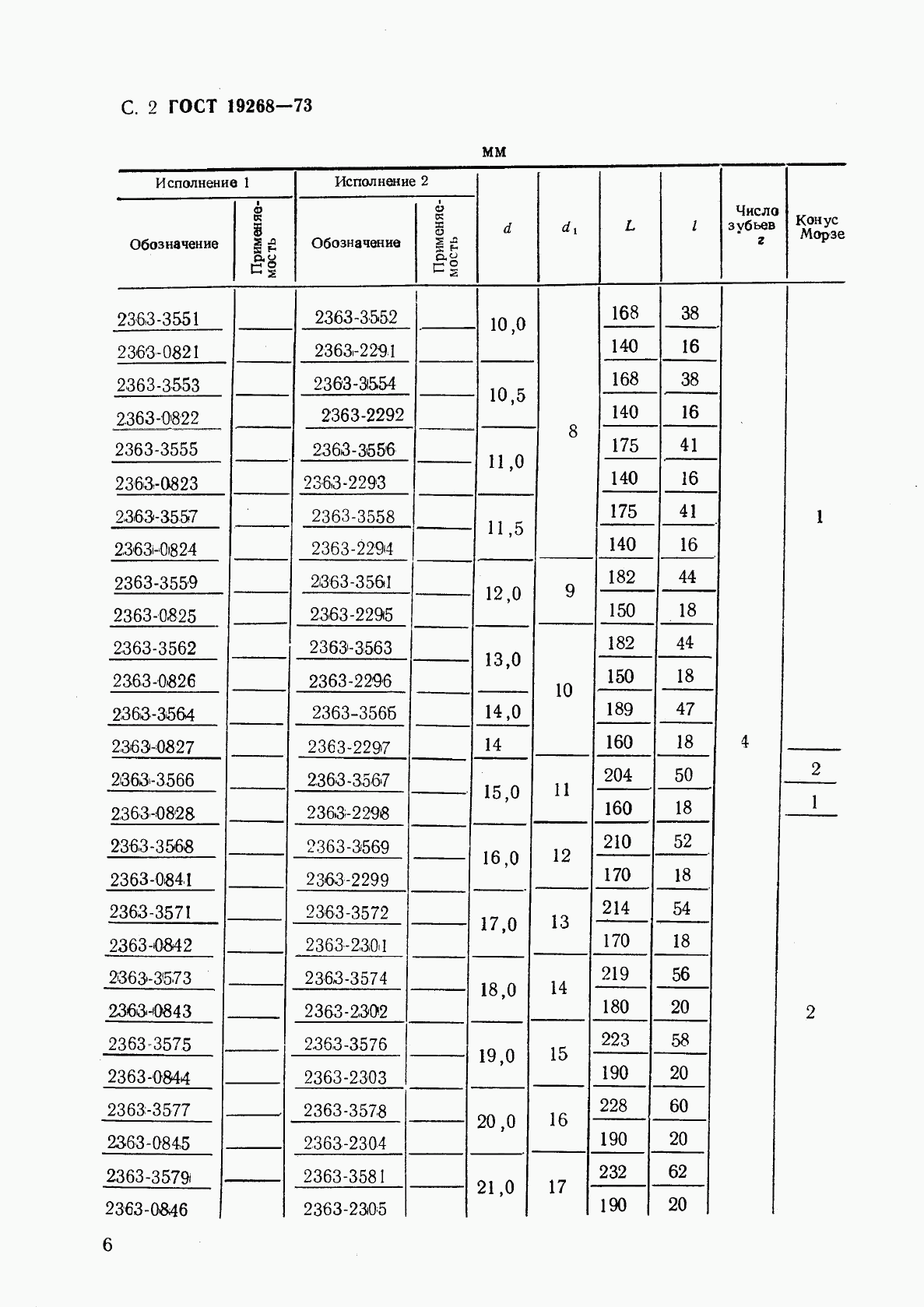
ГОСТ 19268-73 Развертки машинные цилиндрические с коническим хвостовиком для обработки деталей из легких сплавов. Конструкция и размеры

Категории ГОСТ 19268-73 по ОКС:
Статус документа:
действует, введён в действие 01.01.1975
Название на английском языке:
Straight machine reamers with tapered shank for working parts of light alloys. Design and dimensions
Дата актуализации информации по стандарту:
12.09.2019, в 18:53 (более года назад)
Вид стандарта:
Стандарты на продукцию (услуги)
Дата начала действия ГОСТа:
1975-01-01
Дата последнего издания документа:
1991-05-01
Коды документа ГОСТ 19268-73:
Код ОКП:
391722
Код КГС:
Г23
Код ОКСТУ:
3917
Число страниц:
8
Назначение ГОСТ 19268-73:
Настоящий стандарт распространяется на цилиндрические машинные развертки с коническим хвостовиком для обработки отверстий без кондукторных втулок в деталях из легких сплавов с полями допусков Н7, К7, Н8, Н9, Н10, Н11 и на развертки с припуском под доводку № 1, 2, 3, 4, 5, 6
ГРНТИ индекс(ы):
553129
Этот ГОСТ входит в сборник:
Развертки машинные цилиндрические хвостовые для обработки деталей из легких сплавов

Скачать ГОСТ 19268-73 вы можете в следующих версиях:

Тип файла:
Дата добавления:
Загрузок:
Размер:
Тип файла:
PDF с изображениями
Добавлен:
12/12/2011 02:00
Скачиваний:
161
Размер файла:
0.64 Мб
Тип файла:
PDF с изображениями
Добавлен:
12/12/2011 01:57
Скачиваний:
167
Размер файла:
0.27 Мб

Поправки и изменения к ГОСТ 19268-73:

  • Наименование, вид:
    Дата
    регистрации:
    начала действия:
  • Изменение №1 к ГОСТ 19268-73

    Тип изменения: Текстовое изменение
    Номер изменения: 1
    Регистрационный номер: 524

    1977-02-28
    1977-03-01
  • Изменение №2 к ГОСТ 19268-73

    Тип изменения: Текстовое изменение
    Номер изменения: 2
    Регистрационный номер: 656

    1982-02-16
    1983-01-01
  • ГОСТ 19268-73, страница 1 страница 1
  • ГОСТ 19268-73, страница 2 страница 2
  • ГОСТ 19268-73, страница 3 страница 3
  • ГОСТ 19268-73, страница 4 страница 4
  • ГОСТ 19268-73, страница 5 страница 5
  • ГОСТ 19268-73, страница 6 страница 6
  • ГОСТ 19268-73, страница 7 страница 7
  • ГОСТ 19268-73, страница 8 страница 8