ГОСТ 18440-73 Оправки зубчатые (шлицевые) прямобочные шпиндельные. Конструкция и размеры

Категории ГОСТ 18440-73 по ОКС:
Статус документа:
действует, введён в действие 01.07.1974
Название на английском языке:
Noched straight side sprindle arbors. Design and dimensions
Дата актуализации информации по стандарту:
12.09.2019, в 18:28 (более года назад)
Вид стандарта:
Стандарты на продукцию (услуги)
Дата начала действия ГОСТа:
1974-07-01
Дата последнего издания документа:
1973-05-23
Коды документа ГОСТ 18440-73:
Код ОКП:
396100;392880
Код КГС:
Г27
Код ОКСТУ:
3961
Число страниц:
21
Назначение ГОСТ 18440-73:
Настоящий стандарт распространяется на шпиндельные зубчатые (шлицевые) оправки, предназначенные для установки изделий с базовым зубчатым отверстием прямобочного профиля зубьев, изготовленных с предельными отклонениями поверхности центрирования D по А, при обработке их на токарных станках
ГРНТИ индекс(ы):
553137
Этот ГОСТ входит в сборник:
Оправки зубчатые (шлицевые) прямобочные

Скачать ГОСТ 18440-73 вы можете в следующих версиях:

Тип файла:
Дата добавления:
Загрузок:
Размер:
Тип файла:
PDF с изображениями
Добавлен:
12/12/2011 01:59
Скачиваний:
144
Размер файла:
0.62 Мб
Тип файла:
PDF с изображениями
Добавлен:
12/12/2011 01:57
Скачиваний:
199
Размер файла:
0.57 Мб
Тип файла:
PDF с изображениями
Добавлен:
12/12/2011 01:59
Скачиваний:
201
Размер файла:
0.62 Мб

Поправки и изменения к ГОСТ 18440-73:

  • Наименование, вид:
    Дата
    регистрации:
    начала действия:
  • Изменение №1 к ГОСТ 18440-73

    Тип изменения: Текстовое изменение
    Номер изменения: 1
    Регистрационный номер: 5428
    Новое значение: -

    1983-11-21
    1984-03-01
  • ГОСТ 18440-73, страница 1 страница 1
  • ГОСТ 18440-73, страница 2 страница 2
  • ГОСТ 18440-73, страница 3 страница 3
  • ГОСТ 18440-73, страница 4 страница 4
  • ГОСТ 18440-73, страница 5 страница 5
  • ГОСТ 18440-73, страница 6 страница 6
  • ГОСТ 18440-73, страница 7 страница 7
  • ГОСТ 18440-73, страница 8 страница 8
  • ГОСТ 18440-73, страница 9 страница 9
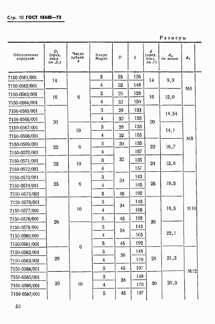
  • ГОСТ 18440-73, страница 10 страница 10
  • ГОСТ 18440-73, страница 11 страница 11
  • ГОСТ 18440-73, страница 12 страница 12
  • ГОСТ 18440-73, страница 13 страница 13
  • ГОСТ 18440-73, страница 14 страница 14
  • ГОСТ 18440-73, страница 15 страница 15
  • ГОСТ 18440-73, страница 16 страница 16
  • ГОСТ 18440-73, страница 17 страница 17
  • ГОСТ 18440-73, страница 18 страница 18
  • ГОСТ 18440-73, страница 19 страница 19
  • ГОСТ 18440-73, страница 20 страница 20
  • ГОСТ 18440-73, страница 21 страница 21