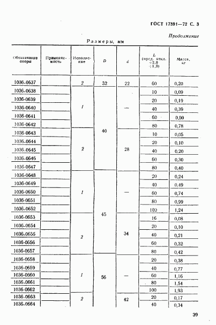
ГОСТ 17391-72
ГОСТ 17391-72 Опоры направляющих колонок и втулок пресс-форм и форм для литья под давлением. Конструкция и размеры
Категории ГОСТ 17391-72 по ОКС:- Статус документа:
- действует, введён в действие 01.07.1973
- Название на английском языке:
- Supports for guide pins and guide bushings of plastics moulds die casting dies. Construction and dimensions
- Дата актуализации информации по стандарту:
- 12.09.2019, в 17:55 (более года назад)
- Вид стандарта:
- Стандарты на продукцию (услуги)
- Дата начала действия ГОСТа:
- 1973-07-01
- Дата последнего издания документа:
- 1992-05-01
Коды документа ГОСТ 17391-72:
- Код ОКП:
- 396300
- Код КГС:
- Г21
- Код ОКСТУ:
- 3963
- Число страниц:
- 4
- Назначение ГОСТ 17391-72:
- Настоящий стандарт распространяется на опоры направляющих колонок и втулок пресс-форм для прессования изделий из реактопластов и форм для литья под давлением изделий из термопластов и цветных сплавов
- ГРНТИ индекс(ы):
- 552931
- Этот ГОСТ входит в сборник:
- Направляющие и опорные детали пресс-форм и форм для литья под давлением
Нормативные ссылки, связанные с ГОСТ 17391-72:
- Стандарт ссылается на ГОСТы:
- ГОСТ 17392-72, ГОСТ 380-88
- На стандарт ссылаются:
- ГОСТ 19934-74, ГОСТ 17392-72, ГОСТ 17388-72, ГОСТ 17387-72
Скачать ГОСТ 17391-72 вы можете в следующих версиях:
Тип файла:
Дата добавления:
Загрузок:
Размер:
Ссылка на скачивание:
Добавлен:
12/12/2011 01:59
Скачиваний:
132
Размер файла:
0.28 Мб
Ссылка для скачивания:
Добавлен:
12/12/2011 01:57
Скачиваний:
159
Размер файла:
0.13 Мб
Ссылка для скачивания:
Поправки и изменения к ГОСТ 17391-72:
-
Наименование, вид:Датарегистрации:начала действия:Ссылка:
-
Изменение №1 к ГОСТ 17391-72
Тип изменения: Текстовое изменение
Номер изменения: 1
Регистрационный номер: 1800
Новое значение: -
1981-04-061981-07-01
-
страница 1
-
страница 2
-
страница 3
-
страница 4