ГОСТ 16783-2017 Пластмассы. Метод определения температуры хрупкости при сдавливании образца, сложенного петлей

Категории ГОСТ 16783-2017 по ОКС:
Статус документа:
действует, введён в действие 01.07.2018
Название на английском языке:
Plastics. Method of determining the brittleness temperature at squeezing the specimen folded up as a loop
Дата актуализации информации по стандарту:
30.10.2025, в 10:04 (менее 3 месяцев назад)
Вид стандарта:
Стандарты на методы контроля
Дата начала действия ГОСТа:
2018-07-01
Дата последнего издания документа:
2017-08-17
Число страниц:
12
Назначение ГОСТ 16783-2017:
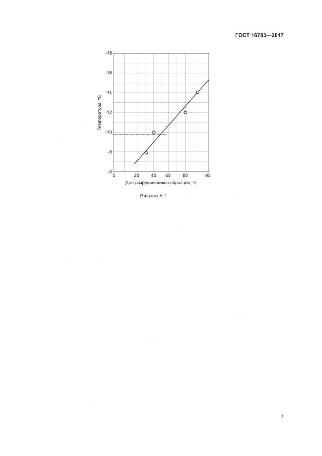
Настоящий стандарт распространяется на пластмассы с температурой хрупкости ниже стандартной температуры по ГОСТ 12423 и устанавливает метод определения температуры хрупкости при сдавливании сложенного петлей образца толщиной не более 0,5 мм. Температура хрупкости служит для сравнительной характеристики пластмасс при заданных условиях испытания и не является нижним пределом рабочей температуры изделия, которая зависит от конкретных условий эксплуатации изделия
Документ разработан орг-ей:
Федеральное агентство по техническому регулированию и метрологии (Росстандарт)
Документ принят орг-ей:
Межгосударственный Совет по стандартизации метрологии и сертификации, протокол №51-2017
Ключевые слова документа:
метод испытания, образец, пластмассы, сдавливание, сложенный петлей, температура хрупкости

Скачать ГОСТ 16783-2017 вы можете в следующих версиях:

Тип файла:
Дата добавления:
Загрузок:
Размер:
Тип файла:
PDF с изображениями
Добавлен:
20/11/2025 14:33
Скачиваний:
25
Размер файла:
0.77 Мб
  • ГОСТ 16783-2017, страница 1 страница 1
  • ГОСТ 16783-2017, страница 2 страница 2
  • ГОСТ 16783-2017, страница 3 страница 3
  • ГОСТ 16783-2017, страница 4 страница 4
  • ГОСТ 16783-2017, страница 5 страница 5
  • ГОСТ 16783-2017, страница 6 страница 6
  • ГОСТ 16783-2017, страница 7 страница 7
  • ГОСТ 16783-2017, страница 8 страница 8
  • ГОСТ 16783-2017, страница 9 страница 9
  • ГОСТ 16783-2017, страница 10 страница 10
  • ГОСТ 16783-2017, страница 11 страница 11
  • ГОСТ 16783-2017, страница 12 страница 12