ГОСТ EN 1677-2-2015 Детали средств строповки. Безопасность. Часть 2. Кованые крюки с предохранительным замком, класс прочности 8

Категории ГОСТ EN 1677-2-2015 по ОКС:
Статус документа:
действует, введён в действие 01.01.2025
Название на английском языке:
Сomponents for slings. Safety. Part 2. Forged steel lifting hooks with latch, grade 8
Дата актуализации информации по стандарту:
20.08.2025, в 13:56 (менее 3 месяцев назад)
Вид стандарта:
временно не известен
Дата начала действия ГОСТа:
2025-01-01
Число страниц:
12
Назначение ГОСТ EN 1677-2-2015:
не указано
Нормативные ссылки, связанные с ГОСТ EN 1677-2-2015:

Скачать ГОСТ EN 1677-2-2015 вы можете в следующих версиях:

В данный момент версий документа для скачивания не добавлено.

Мы стараемся пополнять базу документов еженедельно и из разных источников, в обозримом будущем версии для этого ГОСТа появятся.

Вы можете просмотреть online текст стандарта ГОСТ EN 1677-2-2015

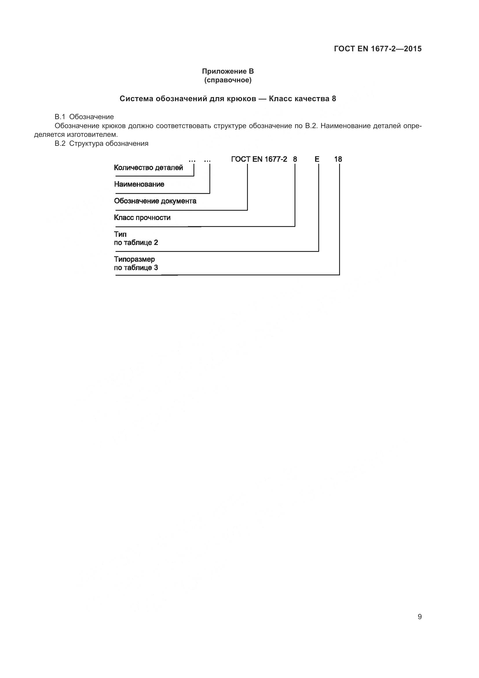
Просмотреть текст ГОСТ EN 1677-2-2015

Текст стандарта

  • ГОСТ EN 1677-2-2015, страница 1 страница 1
  • ГОСТ EN 1677-2-2015, страница 2 страница 2
  • ГОСТ EN 1677-2-2015, страница 3 страница 3
  • ГОСТ EN 1677-2-2015, страница 4 страница 4
  • ГОСТ EN 1677-2-2015, страница 5 страница 5
  • ГОСТ EN 1677-2-2015, страница 6 страница 6
  • ГОСТ EN 1677-2-2015, страница 7 страница 7
  • ГОСТ EN 1677-2-2015, страница 8 страница 8
  • ГОСТ EN 1677-2-2015, страница 9 страница 9
  • ГОСТ EN 1677-2-2015, страница 10 страница 10
  • ГОСТ EN 1677-2-2015, страница 11 страница 11
  • ГОСТ EN 1677-2-2015, страница 12 страница 12