ГОСТ ISO 16000-6-2016 Воздух замкнутых помещений. Часть 6. Определение летучих органических соединений в воздухе замкнутых помещений и испытательной камеры путем активного отбора проб на сорбент Tenax ТА с последующей термической десорбцией и газохроматографическим анализом с использованием МСД/ПИД

Категории ГОСТ ISO 16000-6-2016 по ОКС:
Статус документа:
действует, введён в действие 01.12.2017
Название на английском языке:
Indoor air. Part 6. Determination of volatile organic compounds in indoor and test chamber air by active sampling on Tenax TA sorbent, thermal desorption and gas chromatography using MS/FID
Дата актуализации информации по стандарту:
29.10.2025, в 15:22 (менее 3 месяцев назад)
Вид стандарта:
Стандарты на методы контроля
Дата начала действия ГОСТа:
2017-12-01
Дата последнего издания документа:
2017-02-20
Коды документа ГОСТ ISO 16000-6-2016:
Код КГС:
Т58
Число страниц:
37
Назначение ГОСТ ISO 16000-6-2016:
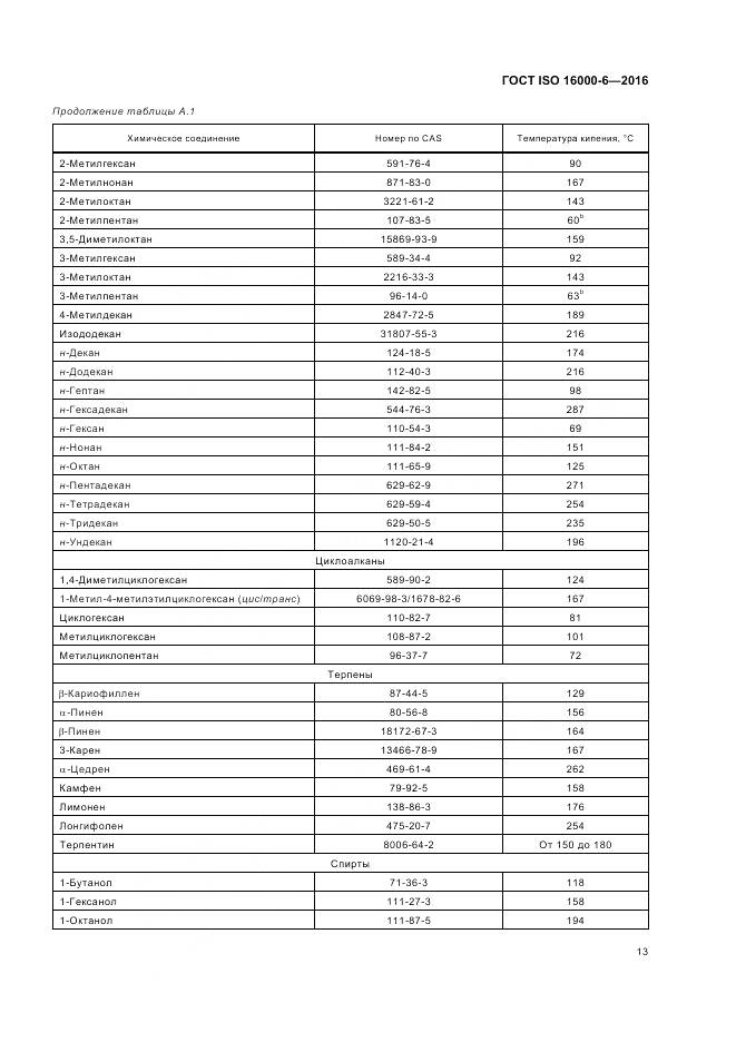
Настоящий стандарт устанавливает метод определения летучих органических соединений (ЛОС) в воздухе замкнутых помещений, а также в воздухе, отобранном для определения выделения ЛОС строительными материалами или другими изделиями, используемыми во внутренней отделке помещений, с использованием испытательных камер и ячеек. Метод основан на использовании сорбента Tenax ТА с последующей термической десорбцией (ТД) и газохроматографическим анализом (ГХ) с использованием капиллярной колонки и пламенно-ионизационного детектора (ПИД) и/или масс-спектрометрического детектора (МСД). Метод применяют при измерении неполярных и слабополярных ЛОС в диапазоне концентраций от нескольких микрограмм на кубический метр до нескольких миллиграмм на кубический метр. Используя основные положения этого метода, также может быть проведен анализ некоторых высоколетучих соединений и среднелетучих органических соединений (см. приложение D)
Документ разработан орг-ей:
Федеральное агентство по техническому регулированию и метрологии (Росстандарт)
Документ принят орг-ей:
Межгосударственный Совет по стандартизации метрологии и сертификации, протокол №93-П
Ключевые слова документа:
воздух, газохроматический, замкнутое помещение, летучие органические соединения, отбор проб, сорбент, сорбционная трубка, термическая десорбция

Скачать ГОСТ ISO 16000-6-2016 вы можете в следующих версиях:

Тип файла:
Дата добавления:
Загрузок:
Размер:
Тип файла:
PDF с изображениями
Добавлен:
20/11/2025 15:09
Скачиваний:
14
Размер файла:
2.93 Мб
  • ГОСТ ISO 16000-6-2016, страница 1 страница 1
  • ГОСТ ISO 16000-6-2016, страница 2 страница 2
  • ГОСТ ISO 16000-6-2016, страница 3 страница 3
  • ГОСТ ISO 16000-6-2016, страница 4 страница 4
  • ГОСТ ISO 16000-6-2016, страница 5 страница 5
  • ГОСТ ISO 16000-6-2016, страница 6 страница 6
  • ГОСТ ISO 16000-6-2016, страница 7 страница 7
  • ГОСТ ISO 16000-6-2016, страница 8 страница 8
  • ГОСТ ISO 16000-6-2016, страница 9 страница 9
  • ГОСТ ISO 16000-6-2016, страница 10 страница 10
  • ГОСТ ISO 16000-6-2016, страница 11 страница 11
  • ГОСТ ISO 16000-6-2016, страница 12 страница 12
  • ГОСТ ISO 16000-6-2016, страница 13 страница 13
  • ГОСТ ISO 16000-6-2016, страница 14 страница 14
  • ГОСТ ISO 16000-6-2016, страница 15 страница 15
  • ГОСТ ISO 16000-6-2016, страница 16 страница 16
  • ГОСТ ISO 16000-6-2016, страница 17 страница 17
  • ГОСТ ISO 16000-6-2016, страница 18 страница 18
  • ГОСТ ISO 16000-6-2016, страница 19 страница 19
  • ГОСТ ISO 16000-6-2016, страница 20 страница 20
  • ГОСТ ISO 16000-6-2016, страница 21 страница 21
  • ГОСТ ISO 16000-6-2016, страница 22 страница 22
  • ГОСТ ISO 16000-6-2016, страница 23 страница 23
  • ГОСТ ISO 16000-6-2016, страница 24 страница 24
  • ГОСТ ISO 16000-6-2016, страница 25 страница 25
  • ГОСТ ISO 16000-6-2016, страница 26 страница 26
  • ГОСТ ISO 16000-6-2016, страница 27 страница 27
  • ГОСТ ISO 16000-6-2016, страница 28 страница 28
  • ГОСТ ISO 16000-6-2016, страница 29 страница 29
  • ГОСТ ISO 16000-6-2016, страница 30 страница 30
  • ГОСТ ISO 16000-6-2016, страница 31 страница 31
  • ГОСТ ISO 16000-6-2016, страница 32 страница 32
  • ГОСТ ISO 16000-6-2016, страница 33 страница 33
  • ГОСТ ISO 16000-6-2016, страница 34 страница 34
  • ГОСТ ISO 16000-6-2016, страница 35 страница 35
  • ГОСТ ISO 16000-6-2016, страница 36 страница 36
  • ГОСТ ISO 16000-6-2016, страница 37 страница 37