ГОСТ 15834-2016
ГОСТ 15834-2016 Проволока из бериллиевой бронзы. Технические условия
Категории ГОСТ 15834-2016 по ОКС:- Статус документа:
- действует, введён в действие 01.04.2017
- Название на английском языке:
- Wire of beryllium bronze. Technical conditions
- Дата актуализации информации по стандарту:
- 06.08.2025, в 15:30 (менее 3 месяцев назад)
- Вид стандарта:
- Стандарты на продукцию (услуги)
- Дата начала действия ГОСТа:
- 2017-04-01
- Дата последнего издания документа:
- 2016-08-18
Коды документа ГОСТ 15834-2016:
- Код КГС:
- В74
- Число страниц:
- 16
- Назначение ГОСТ 15834-2016:
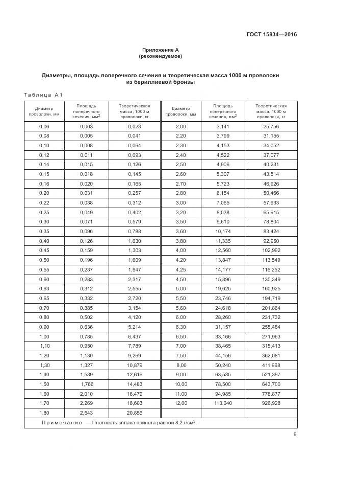
- Настоящий стандарт распространяется на проволоку круглого сечения берилливой бронзы (далее - проволока), применяемую в приборо- и машиностроении. Настоящий стандарт устанавливает сортамент, технические требования, правила приемки, методы контроля и испытаний, правила упаковки, маркировки, транспортирования и хранения проволоки
- Документ разработан орг-ей:
- Федеральное агентство по техническому регулированию и метрологии (Росстандарт)
- Документ принят орг-ей:
- Межгосударственный Совет по стандартизации метрологии и сертификации, протокол №85-П
- Ключевые слова документа:
- бериллиевая бронза, дисперсионное твердение, излом, испытания на навивку, механические свойства, мягкая (закаленная), номинальный диаметр, проволока, твердая (холоднодеформированная после закалки), термическая обработка, химический состав
Нормативные ссылки, связанные с ГОСТ 15834-2016:
- Стандарт ссылается на ГОСТы:
- ГОСТ 21073.4-75, ГОСТ 15027.2-77, ГОСТ 15027.3-77, ГОСТ 15027.5-77, ГОСТ 15027.7-77, ГОСТ 18175-78, ГОСТ 21073.0-75, ГОСТ 21073.1-75, ГОСТ 21073.2-75, ГОСТ 21073.3-75, ГОСТ 15027.1-77, ГОСТ 24231-80, ГОСТ 3282-74, ГОСТ 3560-73, ГОСТ 4381-87, ГОСТ 6507-90, ГОСТ 18321-73, ГОСТ 18242-72, ГОСТ 32597-2013, ГОСТ 8273-75, ГОСТ 14192-96, ГОСТ 15846-2002, ГОСТ 20435-75, ГОСТ 21650-76, ГОСТ 22225-76, ГОСТ 24597-81, ГОСТ 26653-90, ГОСТ 26663-85, ГОСТ 2991-85, ГОСТ 9557-87, ГОСТ 8828-89, ГОСТ 9078-84, ГОСТ 9347-74, ГОСТ 9421-80, ГОСТ 9570-84, ГОСТ 10446-80, ГОСТ 10447-93, ГОСТ 15027.13-77
- Ссылки на прочие:
- СТ СЭВ 543-77
Скачать ГОСТ 15834-2016 вы можете в следующих версиях:
В данный момент версий документа для скачивания не добавлено.
Мы стараемся пополнять базу документов еженедельно и из разных источников, в обозримом будущем версии для этого ГОСТа появятся.
Вы можете просмотреть online текст стандарта ГОСТ 15834-2016
Просмотреть текст ГОСТ 15834-2016Текст стандарта
Вы можете просмотреть версии ГОСТ 15834-2016, доступные для скачивания, возможно документ есть там в PDF формате.