ГОСТ Р ИСО/МЭК 15693-3-2011

ГОСТ Р ИСО/МЭК 15693-3-2011 Карты идентификационные. Карты на интегральных схемах бесконтактные. Карты удаленного действия. Часть 3. Антиколлизия и протокол передачи данных

Категории ГОСТ Р ИСО/МЭК 15693-3-2011 по ОКС:
Статус документа:
действует, введён в действие 01.01.2013
Название на английском языке:
Identification cards. Contactless integrated circuit cards. Vicinity cards. Part 3. Anticollision and transmission protocol
Дата актуализации информации по стандарту:
30.11.-0001, в 00:00 (более года назад)
Вид стандарта:
временно не известен
Дата начала действия ГОСТа:
2013-01-01
Коды документа ГОСТ Р ИСО/МЭК 15693-3-2011:
Код ОКП:
408470
Код КГС:
Э46
Число страниц:
не известно
Назначение ГОСТ Р ИСО/МЭК 15693-3-2011:
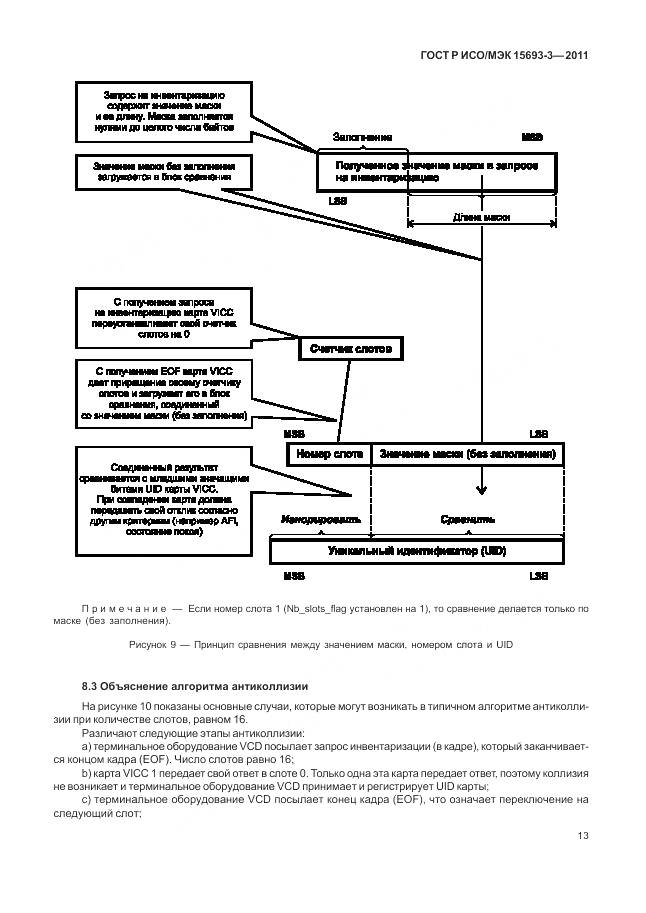
Настоящий стандарт устанавливает: - протокол и команды, - другие параметры, необходимые для инициации обмена информацией между картами на интегральных схемах удаленного действия и терминальным оборудованием, - методы обнаружения и поддержания связи с одной картой среди нескольких карт («антиколлизия»), -дополнительные средства упрощения и ускорения выбора одной из нескольких карт на основе критериев применения
Ключевые слова документа:
IC-карты, антиколлизия, идентификационные карты, карты удаленного действия, команды, обмен информацией, обработка данных, протокол передачи
Нормативные ссылки, связанные с ГОСТ Р ИСО/МЭК 15693-3-2011:

Скачать ГОСТ Р ИСО/МЭК 15693-3-2011 вы можете в следующих версиях:

В данный момент версий документа для скачивания не добавлено.

Мы стараемся пополнять базу документов еженедельно и из разных источников, в обозримом будущем версии для этого ГОСТа появятся.

Вы можете просмотреть online текст стандарта ГОСТ Р ИСО/МЭК 15693-3-2011

Просмотреть текст ГОСТ Р ИСО/МЭК 15693-3-2011

Текст стандарта

  • ГОСТ Р ИСО/МЭК 15693-3-2011, страница 1 страница 1
  • ГОСТ Р ИСО/МЭК 15693-3-2011, страница 2 страница 2
  • ГОСТ Р ИСО/МЭК 15693-3-2011, страница 3 страница 3
  • ГОСТ Р ИСО/МЭК 15693-3-2011, страница 4 страница 4
  • ГОСТ Р ИСО/МЭК 15693-3-2011, страница 5 страница 5
  • ГОСТ Р ИСО/МЭК 15693-3-2011, страница 6 страница 6
  • ГОСТ Р ИСО/МЭК 15693-3-2011, страница 7 страница 7
  • ГОСТ Р ИСО/МЭК 15693-3-2011, страница 8 страница 8
  • ГОСТ Р ИСО/МЭК 15693-3-2011, страница 9 страница 9
  • ГОСТ Р ИСО/МЭК 15693-3-2011, страница 10 страница 10
  • ГОСТ Р ИСО/МЭК 15693-3-2011, страница 11 страница 11
  • ГОСТ Р ИСО/МЭК 15693-3-2011, страница 12 страница 12
  • ГОСТ Р ИСО/МЭК 15693-3-2011, страница 13 страница 13
  • ГОСТ Р ИСО/МЭК 15693-3-2011, страница 14 страница 14
  • ГОСТ Р ИСО/МЭК 15693-3-2011, страница 15 страница 15
  • ГОСТ Р ИСО/МЭК 15693-3-2011, страница 16 страница 16
  • ГОСТ Р ИСО/МЭК 15693-3-2011, страница 17 страница 17
  • ГОСТ Р ИСО/МЭК 15693-3-2011, страница 18 страница 18
  • ГОСТ Р ИСО/МЭК 15693-3-2011, страница 19 страница 19
  • ГОСТ Р ИСО/МЭК 15693-3-2011, страница 20 страница 20
  • ГОСТ Р ИСО/МЭК 15693-3-2011, страница 21 страница 21
  • ГОСТ Р ИСО/МЭК 15693-3-2011, страница 22 страница 22
  • ГОСТ Р ИСО/МЭК 15693-3-2011, страница 23 страница 23
  • ГОСТ Р ИСО/МЭК 15693-3-2011, страница 24 страница 24
  • ГОСТ Р ИСО/МЭК 15693-3-2011, страница 25 страница 25
  • ГОСТ Р ИСО/МЭК 15693-3-2011, страница 26 страница 26
  • ГОСТ Р ИСО/МЭК 15693-3-2011, страница 27 страница 27
  • ГОСТ Р ИСО/МЭК 15693-3-2011, страница 28 страница 28
  • ГОСТ Р ИСО/МЭК 15693-3-2011, страница 29 страница 29
  • ГОСТ Р ИСО/МЭК 15693-3-2011, страница 30 страница 30
  • ГОСТ Р ИСО/МЭК 15693-3-2011, страница 31 страница 31
  • ГОСТ Р ИСО/МЭК 15693-3-2011, страница 32 страница 32
  • ГОСТ Р ИСО/МЭК 15693-3-2011, страница 33 страница 33
  • ГОСТ Р ИСО/МЭК 15693-3-2011, страница 34 страница 34
  • ГОСТ Р ИСО/МЭК 15693-3-2011, страница 35 страница 35
  • ГОСТ Р ИСО/МЭК 15693-3-2011, страница 36 страница 36
  • ГОСТ Р ИСО/МЭК 15693-3-2011, страница 37 страница 37
  • ГОСТ Р ИСО/МЭК 15693-3-2011, страница 38 страница 38
  • ГОСТ Р ИСО/МЭК 15693-3-2011, страница 39 страница 39
  • ГОСТ Р ИСО/МЭК 15693-3-2011, страница 40 страница 40
  • ГОСТ Р ИСО/МЭК 15693-3-2011, страница 41 страница 41
  • ГОСТ Р ИСО/МЭК 15693-3-2011, страница 42 страница 42
  • ГОСТ Р ИСО/МЭК 15693-3-2011, страница 43 страница 43
  • ГОСТ Р ИСО/МЭК 15693-3-2011, страница 44 страница 44
  • ГОСТ Р ИСО/МЭК 15693-3-2011, страница 45 страница 45
  • ГОСТ Р ИСО/МЭК 15693-3-2011, страница 46 страница 46