ГОСТ 13769-86 Пружины винтовые цилиндрические сжатия I класса, разряда 4 из стали круглого сечения. Основные параметры витков

Категории ГОСТ 13769-86 по ОКС:
Статус документа:
действует, введён в действие 01.07.1988
Название на английском языке:
Cylindrical helical compression springs of I class and of 4 category made of round steel. Main parameters of coils
Дата актуализации информации по стандарту:
05.08.2025, в 17:34 (менее 3 месяцев назад)
Вид стандарта:
Стандарты на продукцию (услуги)
Дата начала действия ГОСТа:
1988-07-01
Дата последнего издания документа:
1999-09-01
Коды документа ГОСТ 13769-86:
Код КГС:
Г11
Код ОКСТУ:
1243
Число страниц:
10
Назначение ГОСТ 13769-86:
Настоящий стандарт распространяется на пружины сжатия 1класса, разряда 4 с силами при максимальной деформации пружины от 2800 до 180000 Н
ГРНТИ индекс(ы):
550341
Ключевые слова документа:
основные парамеры витков, пружины винтовые, пружины из стали, пружины круглого сечения, пружины сжатия и растяжения, пружины цилиндрические
Нормативные ссылки, связанные с ГОСТ 13769-86:

Скачать ГОСТ 13769-86 вы можете в следующих версиях:

Дата добавления:
Тип файла:
Загрузок:
Размер:
12/12/2011 01:57
PDF с изображениями
727
0.39 Мб

Поправки и изменения к ГОСТ 13769-86:

  • Наименование, вид:
    Дата
    регистрации:
    начала действия:
  • Изменение №1 к ГОСТ 13769-86

    Тип изменения: Текстовое изменение
    Номер изменения: 1
    Регистрационный номер: 3644
    Новое значение: -

    1988-11-04
    1989-04-01

Текст стандарта

  • ГОСТ 13769-86, страница 1 страница 1
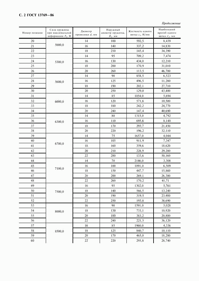
  • ГОСТ 13769-86, страница 2 страница 2
  • ГОСТ 13769-86, страница 3 страница 3
  • ГОСТ 13769-86, страница 4 страница 4
  • ГОСТ 13769-86, страница 5 страница 5
  • ГОСТ 13769-86, страница 6 страница 6
  • ГОСТ 13769-86, страница 7 страница 7
  • ГОСТ 13769-86, страница 8 страница 8
  • ГОСТ 13769-86, страница 9 страница 9
  • ГОСТ 13769-86, страница 10 страница 10