ГОСТ 13114-75 Плиты-заготовки без полок для штампов листовой штамповки. Конструкция и размеры

Категории ГОСТ 13114-75 по ОКС:
Статус документа:
действует, введён в действие 01.01.1977
Название на английском языке:
Die plate without shelves for cold plastic working dies. Construction and dimensions
Дата актуализации информации по стандарту:
05.08.2025, в 16:36 (менее полугода назад)
Вид стандарта:
Стандарты на продукцию (услуги)
Дата начала действия ГОСТа:
1977-01-01
Дата последнего издания документа:
1986-03-01
Коды документа ГОСТ 13114-75:
Код ОКП:
396300;396913
Код КГС:
Г22
Код ОКСТУ:
3963;3969
Число страниц:
4
Назначение ГОСТ 13114-75:
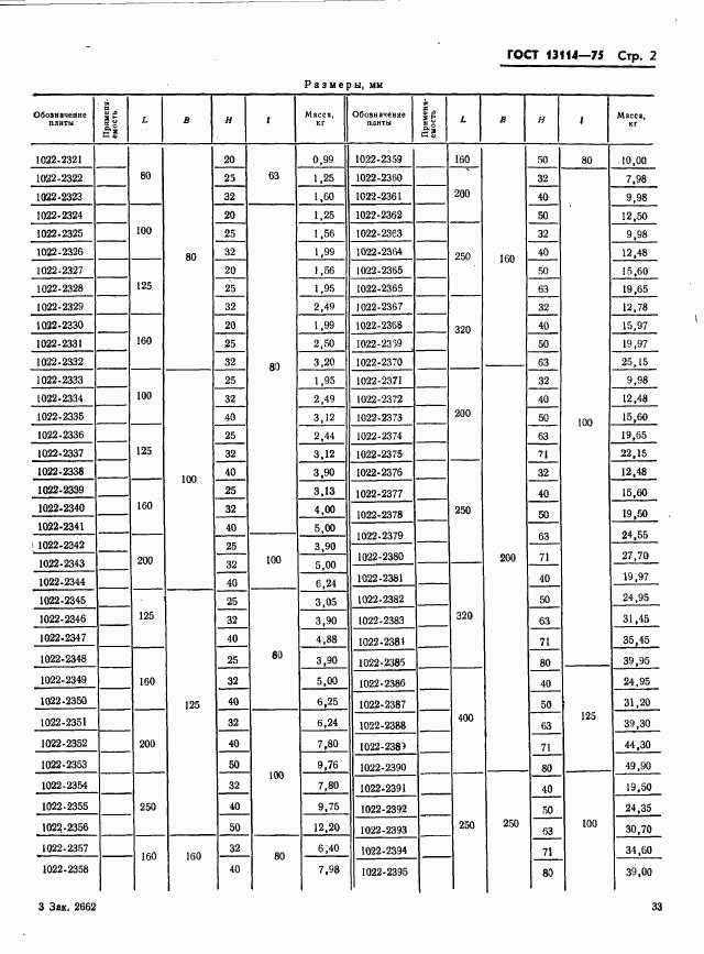
Настоящий стандарт устанавливает конструкцию и размеры плит без полок для штампов листовой штамповки
ГРНТИ индекс(ы):
553131
Этот ГОСТ входит в сборник:
Штампы для листовой штамповки. Блоки с направляющими скольжения

Скачать ГОСТ 13114-75 вы можете в следующих версиях:

Тип файла:
Дата добавления:
Загрузок:
Размер:
Тип файла:
PDF с изображениями
Добавлен:
12/12/2011 01:57
Скачиваний:
175
Размер файла:
0.33 Мб

Поправки и изменения к ГОСТ 13114-75:

  • Наименование, вид:
    Дата
    регистрации:
    начала действия:
  • Изменение №1 к ГОСТ 13114-75

    Тип изменения: Текстовое изменение
    Номер изменения: 1
    Регистрационный номер: 1230
    Новое значение: -

    1981-02-27
    1981-07-01
  • Изменение №2 к ГОСТ 13114-75

    Тип изменения: Текстовое изменение
    Номер изменения: 2
    Регистрационный номер: 4744

    1984-12-19
    1985-07-01
  • ГОСТ 13114-75, страница 1 страница 1
  • ГОСТ 13114-75, страница 2 страница 2
  • ГОСТ 13114-75, страница 3 страница 3
  • ГОСТ 13114-75, страница 4 страница 4